Oписание CIE A Level Maths P1 Yearly
Подробные рабочие решения для математики CIE A Level P1 Yearly 9709
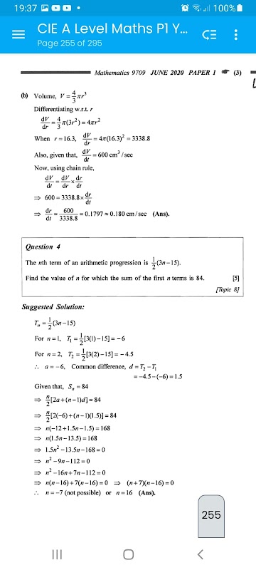
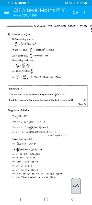
Эта книга содержит экзаменационные работы AS Level Mathematics (9709), июнь и ноябрь, с июня 2007 г. по ноябрь 2021 г., документ 1 (P1), с пошаговыми полными решениями. Вопросы расположены по годам, чтобы учащиеся могли систематически повторять и практиковать.
Вопросы из прошлых экзаменов всегда оказывались лучшей практикой для студентов. Студенты могут применять полученные знания. Эта книга также является очень полезным учебным пособием для студентов, поскольку они могут практиковать вопросы, а затем проверять свою работу и ответы. Эта книга настоятельно рекомендуется для студентов, которые готовятся к экзамену по математике уровня AS.
Физическая книга выпущена с июня 2008 г. по ноябрь 2021 г. и стоит 375 рупий. Свяжитесь с нами по телефону +23057125974 для вашего заказа.
Что нового в последней версии 1.0.0
Информация CIE A Level Maths P1 Yearly APK
Альтернатива CIE A Level Maths P1 Yearly
Супер Быстрая и Безопасная Загрузка через Приложение APKPure
Один клик для установки XAPK/APK файлов на Android!







