Calculus 2 Solver के बारे में
कैलकुलस 2 की समस्याओं को हल करें
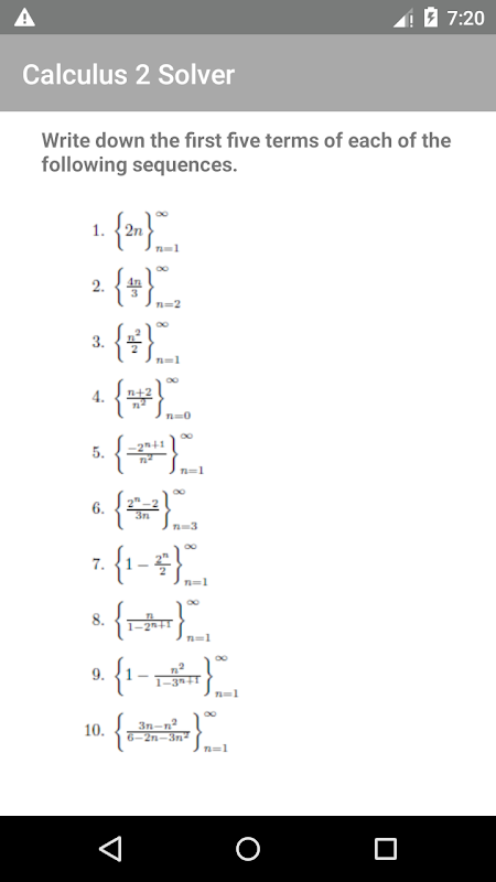
- अनुक्रम, श्रृंखला और अनंत श्रृंखला में समस्याओं के लिए सॉल्वर।
- प्रोग्राम के रूप में समस्याओं को हल करने के लिए कंसोल
-अभिसरण और विचलन परीक्षण गतिविधियाँ
- आपकी समझ का परीक्षण करने में समस्याएं
What's new in the latest 1.0.1
Last updated on 2022-10-29
Fixed Bugs
Calculus 2 Solver APK जानकारी
APKPure पर सुरक्षित और तेज़ APK डाउनलोड करें
आपके लिए वायरस मुक्त Calculus 2 Solver APK डाउनलोड करने के लिए APKPure प्रमाणित करने का उपयोग करता है।
Calculus 2 Solver के पुराने संस्करण
Calculus 2 Solver 1.0.1
15.8 MBOct 29, 2022

APKPure ऐप के माध्यम से सुपर तेज़ और सुरक्षित डाउनलोडिंग
एंड्रॉइड पर XAPK/APK फ़ाइलें इंस्टॉल करने के लिए एक-क्लिक करें!