Calculus 2 Solver সম্পর্কে
ক্যালকুলাস 2 সমস্যা সমাধান করুন
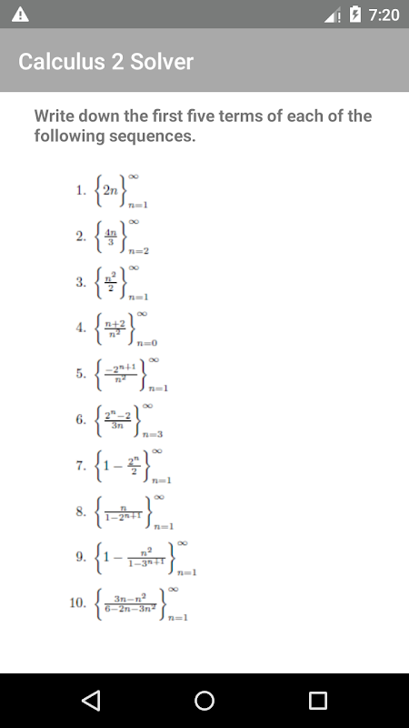
- সিকোয়েন্স, সিরিজ এবং অসীম সিরিজের সমস্যার সমাধানকারী।
- প্রোগ্রামগতভাবে সমস্যা সমাধানের জন্য কনসোল
-কনভারজেন্স এবং ডাইভারজেন্স পরীক্ষা কার্যক্রম
- আপনার বোঝার পরীক্ষা করতে সমস্যা
What's new in the latest 1.0.1
Last updated on 2022-10-29
Fixed Bugs
Calculus 2 Solver APK Information
এপিকিপিউর এ নিরাপদ এবং দ্রুত APK ডাউনলোড
APKPure বিরুদ্ধ সংকেতচিহ্ন যাচাইকরণ ব্যবহার করে আপনাকে ভাইরাস মুক্ত Calculus 2 Solver APK ডাউনলোড উপলব্ধ করানোর জন্য।
Calculus 2 Solver এর পুরানো সংস্করণ
Calculus 2 Solver 1.0.1
15.8 MBOct 29, 2022

APKPure অ্যাপের মাধ্যমে অতি দ্রুত এবং নিরাপদ ডাউনলোড করা হচ্ছে
Android-এ XAPK/APK ফাইল ইনস্টল করতে এক-ক্লিক করুন!