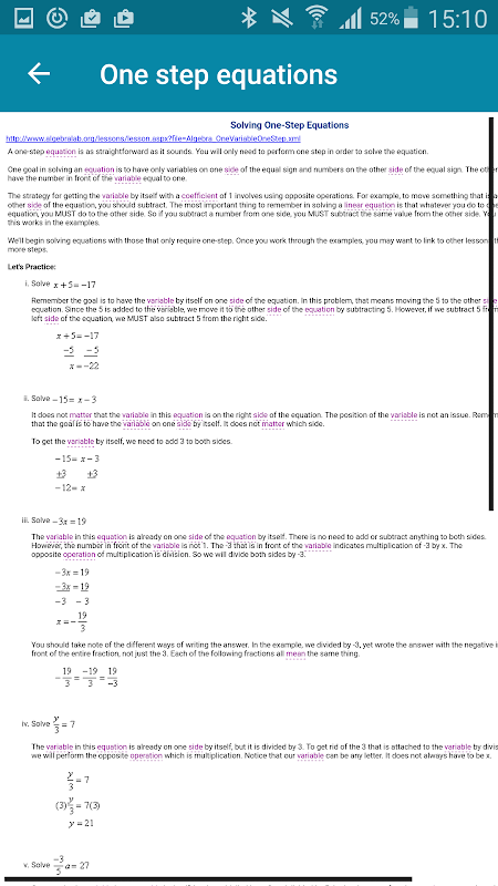
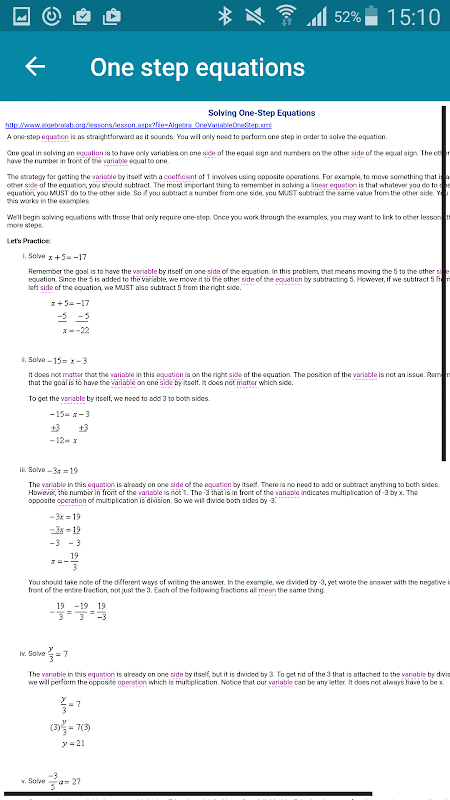
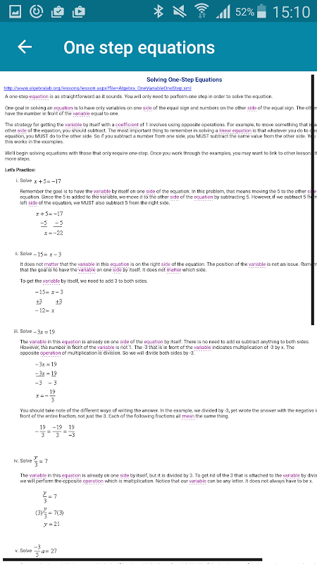
ISD Classlink LaunchPad 정보
이사 콰 SD는 개인 클라우드는 모든 장치에서 학교에 대한 액세스를 제공한다
ISD Classlink LaunchPad is your personalized cloud desktop providing access to school from anywhere on any device. ISD Classlink LaunchPad is ideal for empowering students and staff to maximize academic effort by facilitating access to academic tools using your personal virtual instructional desktop.
With more and different devices showing up in the classrooms today, users expecting 24/7 access, and schools needing to lower costs, a different approach is needed and quick.
ISD Classlink LaunchPad gives you real time access to your cloud folders, any mapped Active Directory shares and Apps if your school or organization has ISD Classlink LaunchPad.
Seamlessly access all your files:
Dropbox
Google Drive
SkyDrive
School Network
ISD Classlink LaunchPad Cloud Drive
Now with printing support! Print your documents to any Air Print connected printer.
PLEASE NOTE: Your school or organization must have ISD Classlink LaunchPad WEB EDITION for this app to work.







