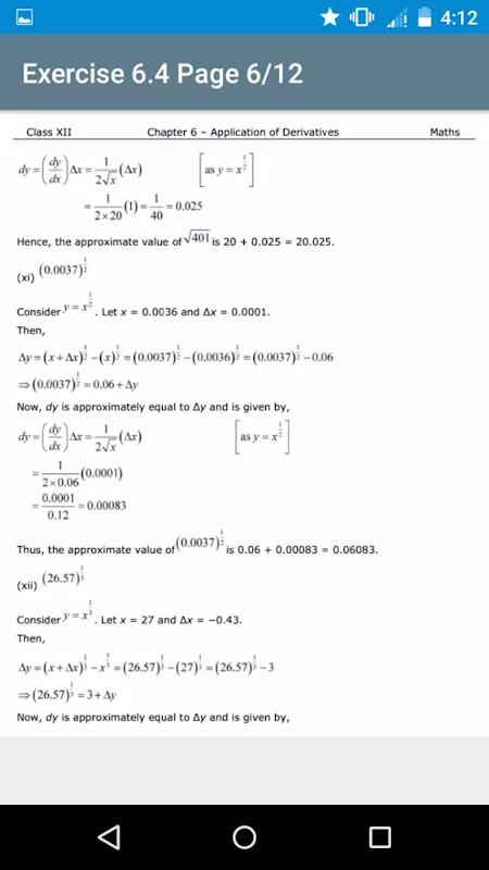
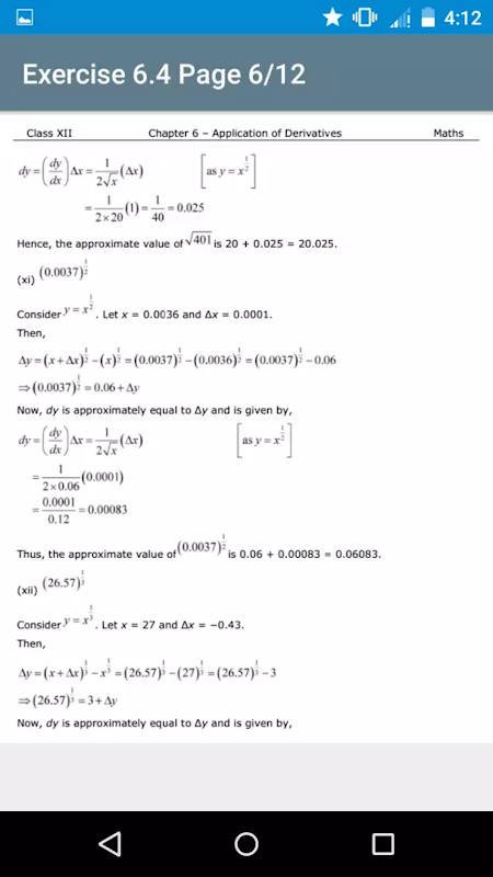
12th Maths NCERT Solution

12th Maths NCERT Solution

  • 46.9 MB

    Rozmiar Pliku

  • Everyone

  • Android 4.1+

    Android OS

O 12th Maths NCERT Solution

Chapterwise rozwiązanie z matematyki dla klasy 12 Textbook (CBSE Board).

Szczegółowe NCERT CLASS 12 Maths ROZWIĄZANIA. Ta aplikacja działa również bez połączenia z Internetem. Jest to rozdział mądry łatwo nawigować z menu każdy NCERT Solutions.
Pokaż więcej

What's new in the latest 5.0

Last updated on 2020-06-02
*UI Improved.
*Previous Year Question Paper Added.
*Toppers Answer sheet Added
*Minor Bug fixed.
*Reminder feature Added.
*Notes Feature Added.(Can Easily make notes inside the app).
*Reduces Advertisement Popups.
*APP Size Reduced.
Pokaż więcej

Filmy i zrzuty ekranu

  • 12th Maths NCERT Solution plakat
  • 12th Maths NCERT Solution screenshot 1
  • 12th Maths NCERT Solution screenshot 2
  • 12th Maths NCERT Solution screenshot 3
  • 12th Maths NCERT Solution screenshot 4

Stare wersje 12th Maths NCERT Solution

APKPure ikona

Superszybkie i bezpieczne pobieranie za pośrednictwem aplikacji APKPure

Jedno kliknięcie, aby zainstalować pliki XAPK/APK na Androidzie!

Pobierz APKPure
thank icon
We use cookies and other technologies on this website to enhance your user experience.
By clicking any link on this page you are giving your consent to our Privacy Policy and Cookies Policy.
Learn More about Policies