INGEAPP
  • Everyone

  • 7.0 and up

    Android OS

عن INGEAPP

هذا تطبيق مصمم لمساعدة الطلاب.

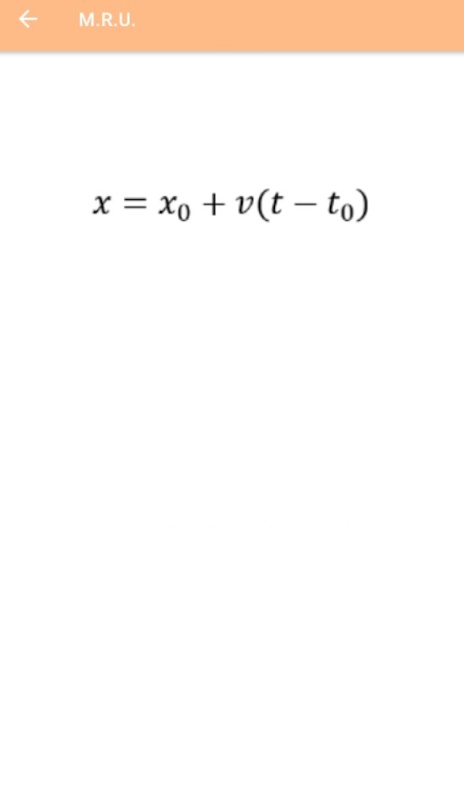
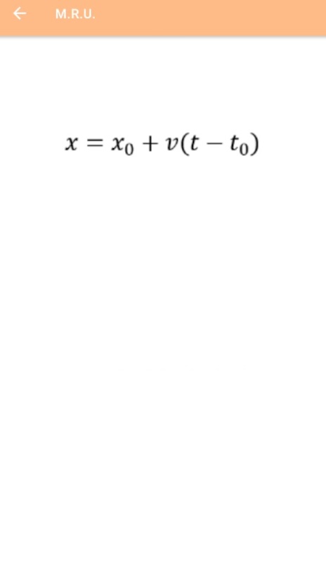
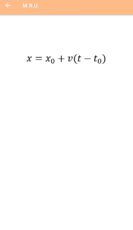
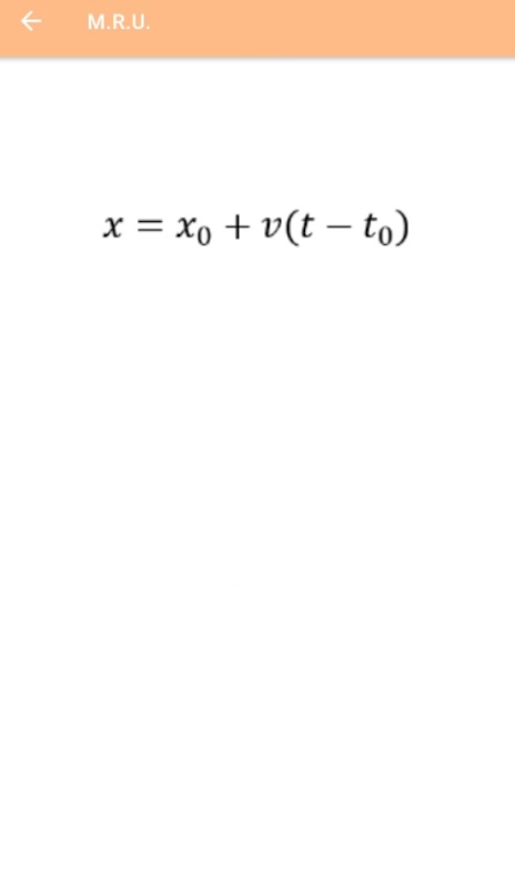
Esta es una aplicación diseñada para poder ayudar a estudiantes a tener acceso a las ecuaciones y formulas de conversion de unidades mas importantes en la palma de sumano, todo en un mismo lugar.
عرض المزيد

What's new in the latest 1.1

Last updated on 09/12/2021
Minor bug fixes and improvements. Install or update to the newest version to check it out!
عرض المزيد

فيديوهات ولقطات الشاشة

  • INGEAPP الملصق
  • INGEAPP تصوير الشاشة 1
  • INGEAPP تصوير الشاشة 2
  • INGEAPP تصوير الشاشة 3
  • INGEAPP تصوير الشاشة 4
APKPure أيقونة

قم بتنزيل سريع وآمن بالغاية عبر تطبيق APKPure

قم بتثبيت ملفات XAPK/APK بنقرة واحدة على أندرويد!

تحميل APKPure
thank icon
We use cookies and other technologies on this website to enhance your user experience.
By clicking any link on this page you are giving your consent to our Privacy Policy and Cookies Policy.
Learn More about Policies