Physics Calculations A-Level

Physics Calculations A-Level

chum
Jul 18, 2021
  • Everyone

  • 4.3

    Android OS

Sobre este Physics Calculations A-Level

Cálculos de Física é projetado para alunos para o exame de Física A-Level.

Cálculos de Física é especialmente projetado para alunos que desejam obter uma nota excelente em seu exame de Física Nível A. Ele contém muitas perguntas desafiadoras que fornecem um excelente material de revisão. Essas perguntas ajudam a reforçar a compreensão dos alunos sobre os conceitos e sua capacidade de aplicá-los.
Mostrar mais

Novidades em 1.0 mais recente

Last updated on Jul 18, 2021
Minor bug fixes and improvements. Install or update to the newest version to check it out!
Mostrar mais

Vídeos e capturas de tela

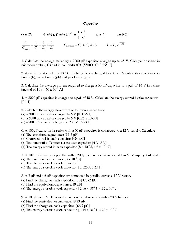
  • Physics Calculations A-Level Cartaz
  • Physics Calculations A-Level imagem de tela 1
  • Physics Calculations A-Level imagem de tela 2
  • Physics Calculations A-Level imagem de tela 3
  • Physics Calculations A-Level imagem de tela 4
  • Physics Calculations A-Level imagem de tela 5
  • Physics Calculations A-Level imagem de tela 6
  • Physics Calculations A-Level imagem de tela 7

Informações sobre Physics Calculations A-Level APK

Última Versão
1.0
Categoria
Educação
Android OS
4.3+
Desenvolvedor
chum
Classificação do Conteúdo
Everyone
Downloads seguros e rápidos de APK no APKPure
O APKPure usa verificação de assinatura para garantir downloads de APK Physics Calculations A-Level sem vírus para você.
APKPure ícone

Baixar de Forma Rápida e Segura via APKPure App

Um clique para instalar arquivos XAPK/APK no Android!

Baixar APKPure
thank icon
We use cookies and other technologies on this website to enhance your user experience.
By clicking any link on this page you are giving your consent to our Privacy Policy and Cookies Policy.
Learn More about Policies