Physics Calculations A-Level

Physics Calculations A-Level

chum
Jul 18, 2021
  • Everyone

  • 4.3

    Android OS

About Physics Calculations A-Level

Physics Calculations is designed for students for A-Level Physics examination.

Physics Calculations is specially designed for students who wish to score an excellent grade in their A-Level Physics examination. It contains many challenging questions that provide excellent revision material. These questions help to reinforce students’ understanding of concepts and their ability to apply them.
Show More

What's new in the latest 1.0

Last updated on Jul 18, 2021
Minor bug fixes and improvements. Install or update to the newest version to check it out!
Show More

Videos and Screenshots

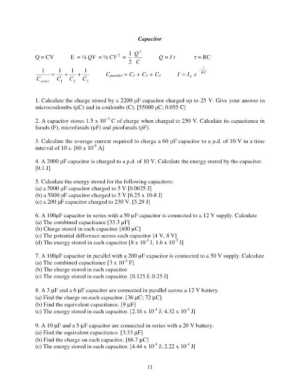
  • Physics Calculations A-Level poster
  • Physics Calculations A-Level screenshot 1
  • Physics Calculations A-Level screenshot 2
  • Physics Calculations A-Level screenshot 3
  • Physics Calculations A-Level screenshot 4
  • Physics Calculations A-Level screenshot 5
  • Physics Calculations A-Level screenshot 6
  • Physics Calculations A-Level screenshot 7

Physics Calculations A-Level APK Information

Latest Version
1.0
Category
Education
Android OS
4.3+
Developer
chum
Content Rating
Everyone
Safe & Fast APK Downloads on APKPure
APKPure uses signature verification to ensure virus-free Physics Calculations A-Level APK downloads for you.
APKPure icon

Super Fast and Safe Downloading via APKPure App

One-click to install XAPK/APK files on Android!

Download APKPure
thank icon
We use cookies and other technologies on this website to enhance your user experience.
By clicking any link on this page you are giving your consent to our Privacy Policy and Cookies Policy.
Learn More about Policies