Calculus Formulas
10.0
1 Rezensionen
2.3 MB
Dateigröße
Everyone
Android 4.0+
Android OS
Über Calculus Formulas
Learn Calculus formulas with ease.
Very useful app für Studenten.
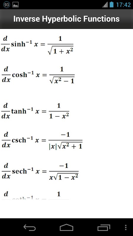
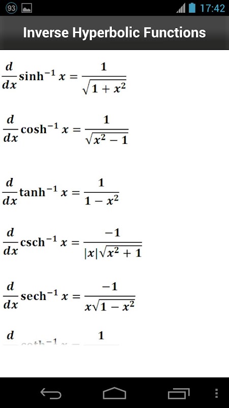
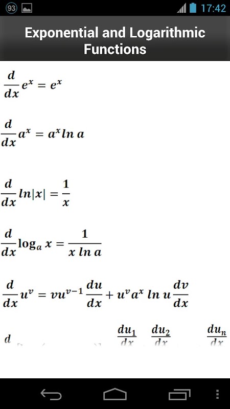
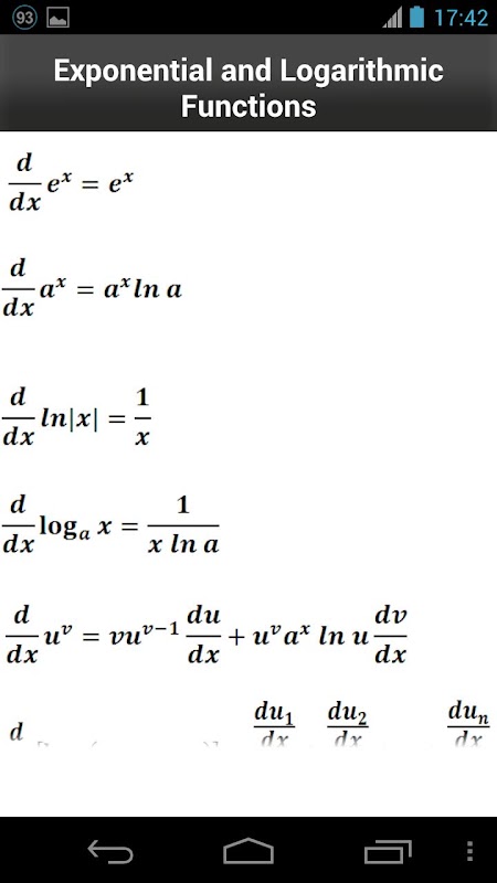
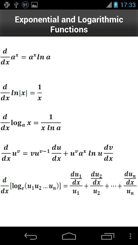
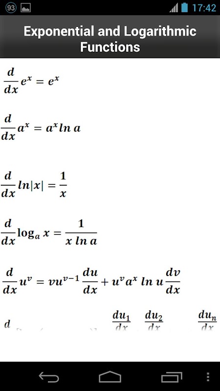
Die App listet alle wichtigen Kalkül Formeln - Derivative Formeln & Integration Formeln.
Derivative Formeln - Exponential-, Logarithmus, trigonometrische, Inverse trigonometrische, hyperbolische, Inverse Hyperbolic, Verschiedene Formen der Kettenregel usw.
Integration Formeln - trigonometrische, hyperbolische, Exponential & Logarithmisch, bestimmte Integrale, Verschiedenes Formeln.
Lassen Sie uns wissen, wenn Sie irgendwelche Vorschläge / Probleme haben. Wenn Sie denken, eine andere Formel muss aufgeführt werden, dann tun Sie uns an education.useful @ gmail.com schreiben
What's new in the latest 4.7
Calculus Formulas APK -Informationen
Alte Versionen von Calculus Formulas
Calculus Formulas 4.7
Calculus Formulas 4.6
Calculus Formulas 4.5
Superschnelles und sicheres Herunterladen über die APKPure-App
Ein Klick zur Installation von XAPK/APK-Dateien auf Android!






