Calculus Formulas
Useful Education
Nov 1, 2019
10.0
1 İncelemeler
2.3 MB
Dosya Boyutu
Everyone
Android 4.0+
Android OS
Calculus Formulas hakkında
Kolaylıkla Matematik formülleri öğrenin.
Öğrenciler için çok yararlı bir uygulama.
Uygulamaya, tüm önemli Matematik formülleri listeler.
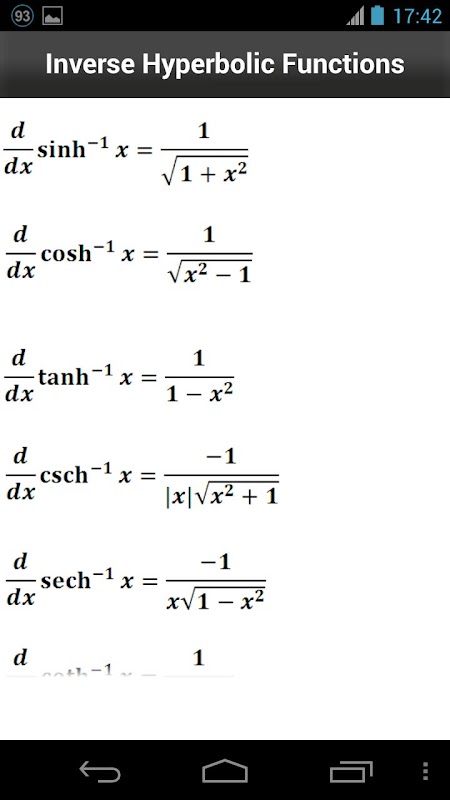
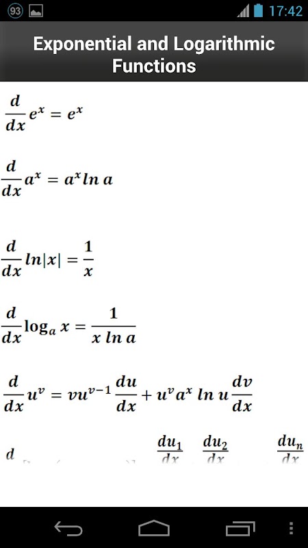
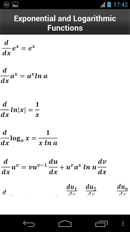
Türev formülleri - Üstel, Logaritmik, Trigonometrik, Ters Trigonometrik, Hiperbolik, Ters Hiperbolik, Zincir kuralı farklı formları vb
Entegrasyon formüller - Trigonometrik, Hiperbolik, Üstel ve logaritmik, Belirli İntegral, Çeşitli formüller.
Eğer herhangi bir öneri / sorunlar varsa bize bildirin. Başka bir formül listelenen gereken düşünüyorsanız, o zaman education.useful @ gmail.com adresinden bize yazıyorum
What's new in the latest 4.7
Last updated on 2019-11-01
Bug Fixes
Calculus Formulas APK Bilgileri
En son sürüm
4.7
Kategori
Kitaplar ve ReferansAndroid OS
Android 4.0+
Dosya Boyutu
2.3 MB
Geliştirici
Useful Educationİçerik derecelendirmesi
Everyone
Güvenli ve Hızlı APK İndirmeleri APKPure'de
APKPure, virüssüz Calculus Formulas APK indirmelerini sağlamak için imza doğrulaması kullanır.
Calculus Formulas'in eski sürümleri
Calculus Formulas 4.7
2.3 MBNov 1, 2019
Calculus Formulas 4.6
2.7 MBDec 10, 2016
Calculus Formulas 4.5
2.0 MBSep 17, 2016
APK Uygulaması ile Süper Hızlı ve Güvenli İndirme
XAPK/APK dosyalarını Android'e yüklemek için tek tıkla!






