Calculus Formulas
Useful Education
Nov 1, 2019
10.0
1 Ulasan
2.3 MB
Ukuran file
Everyone
Android 4.0+
Android OS
Tentang Calculus Formulas
Pelajari rumus Kalkulus dengan mudah.
Aplikasi yang sangat berguna bagi siswa.
Aplikasi ini berisi daftar semua formula Kalkulus penting.
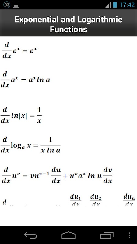
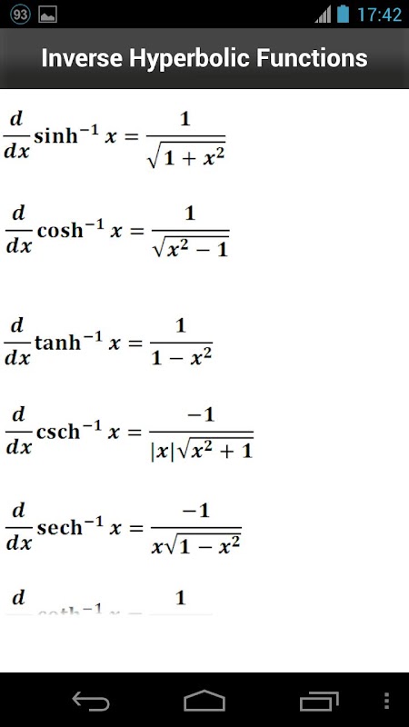
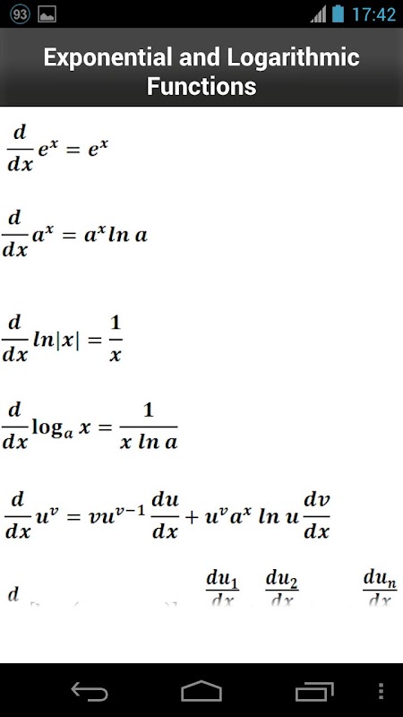
Rumus derivatif - eksponensial, logaritmik, trigonometri, Inverse trigonometri, hiperbolik, Inverse hiperbolik, Berbagai bentuk aturan Rantai dll
Rumus integrasi - trigonometri, hiperbolik, eksponensial & Logaritma, Integral Tertentu, formula Miscellaneous.
Marilah kita tahu jika Anda memiliki saran / masalah. Jika Anda pikir setiap formula yang lain harus terdaftar, maka jangan menulis kepada kami di education.useful @ gmail.com
What's new in the latest 4.7
Last updated on 2019-11-01
Bug Fixes
Informasi APK Calculus Formulas
Versi terbaru
4.7
Kategori
Buku & ReferensiAndroid OS
Android 4.0+
Ukuran file
2.3 MB
Pengembang
Useful EducationRating konten
Everyone
Unduh APK dengan Aman dan Cepat di APKPure
APKPure menggunakan verifikasi tanda tangan untuk memastikan unduhan APK Calculus Formulas yang bebas dari virus untuk Anda.
Versi lama Calculus Formulas
Calculus Formulas 4.7
2.3 MBNov 1, 2019
Calculus Formulas 4.6
2.7 MBDec 10, 2016
Calculus Formulas 4.5
2.0 MBSep 17, 2016
Pengunduhan Super cepat dan aman melalui aplikasi APKPure
Sekali klik untuk menginstal file XAPK/APK di Android!






