Calculus Formulas
Useful Education
Nov 1, 2019
10.0
1 Reviews
2.3 MB
File Size
Everyone
Android 4.0+
Android OS
About Calculus Formulas
Learn Calculus formulas with ease.
Very useful app for students.
The app lists all the important Calculus formulas.
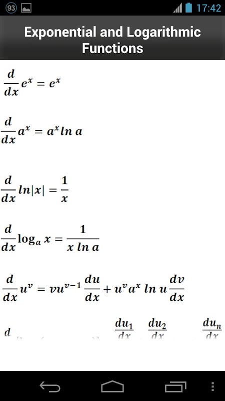
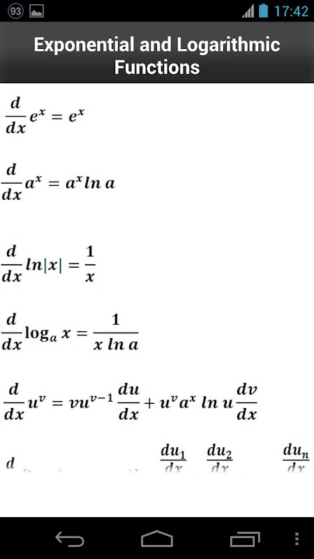
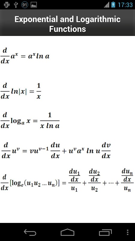
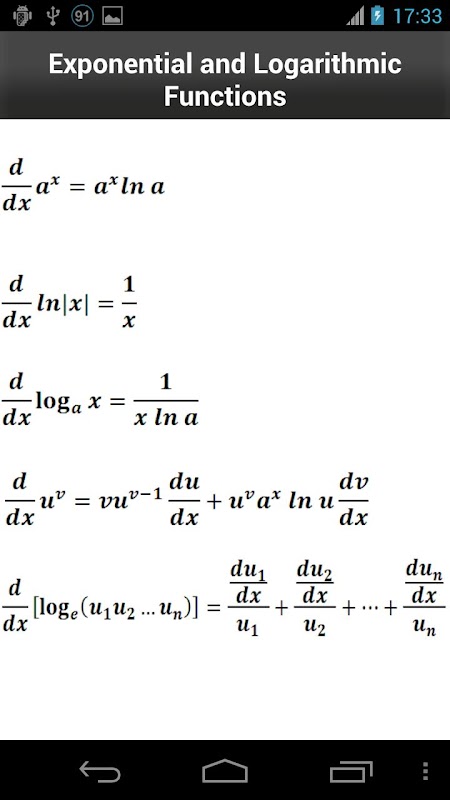
Derivative formulas - Exponential, Logarithmic, Trigonometric, Inverse Trigonometric, Hyperbolic, Inverse Hyperbolic, Different forms of Chain rule etc.
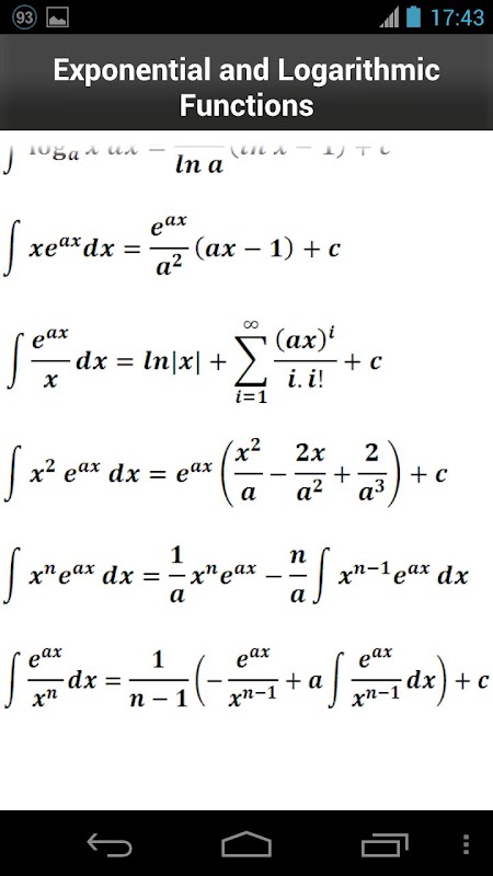
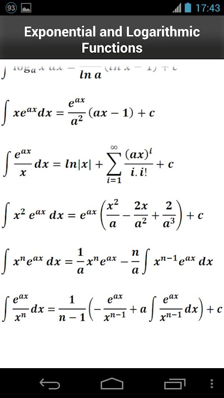
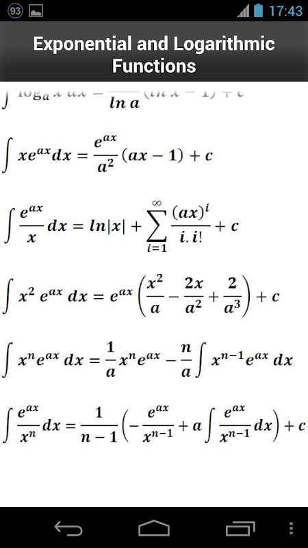
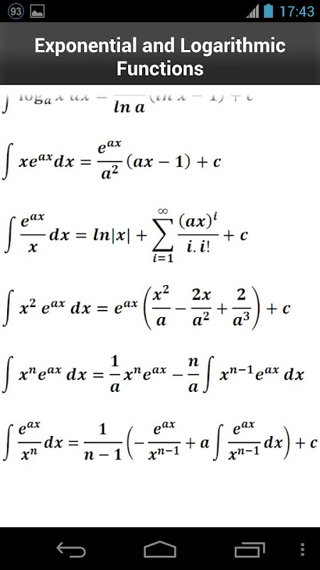
Integration formulas - Trigonometric, Hyperbolic, Exponential & Logarithmic, Definite Integrals, Miscellaneous formulas.
Let us know if you have any suggestions/issues. If you think any other formula needs to be listed, then do write to us at [email protected]
What's new in the latest 4.7
Last updated on 2019-11-01
Bug Fixes
Calculus Formulas APK Information
Latest Version
4.7
Category
Books & ReferenceAndroid OS
Android 4.0+
File Size
2.3 MB
Developer
Useful EducationContent Rating
Everyone
Safe & Fast APK Downloads on APKPure
APKPure uses signature verification to ensure virus-free Calculus Formulas APK downloads for you.
Old Versions of Calculus Formulas
Calculus Formulas 4.7
2.3 MBNov 1, 2019
Calculus Formulas 4.6
2.7 MBDec 10, 2016
Calculus Formulas 4.5
2.0 MBSep 17, 2016
Super Fast and Safe Downloading via APKPure App
One-click to install XAPK/APK files on Android!






