Formules de calcul
10.0
1 Commentaires
2.3 MB
Taille de fichier
Everyone
Android 4.0+
Android OS
À propos de Formules de calcul
Learn Calculus formulas with ease.
Application très utile pour les étudiants.
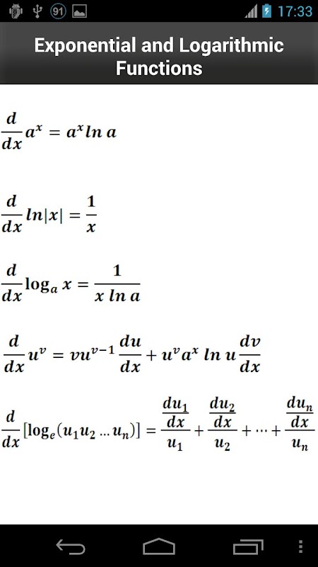
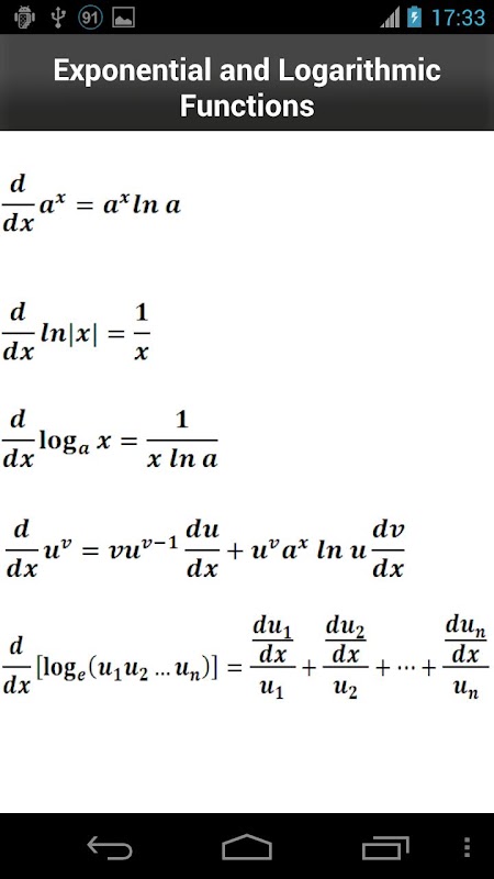
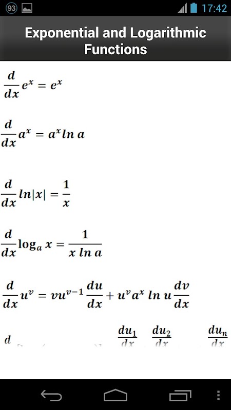
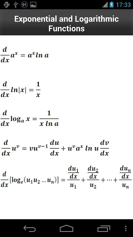
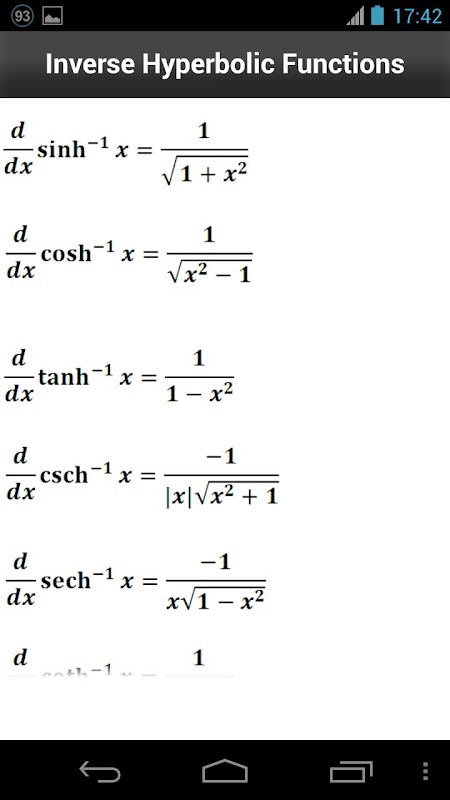
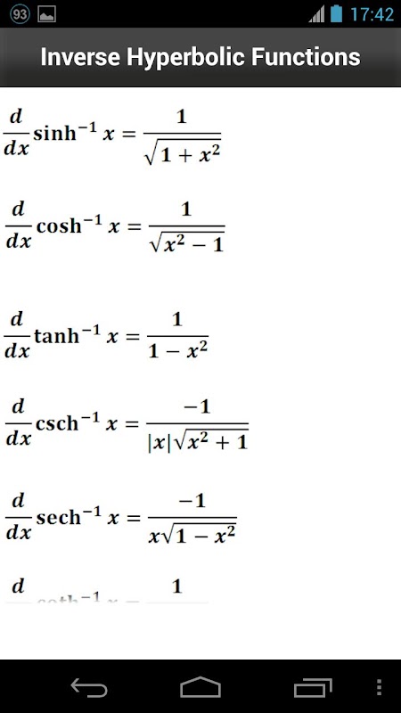
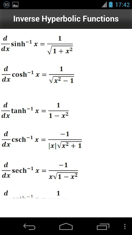
L'application répertorie toutes les formules de calcul importants - en dérivés de formules et formules d'intégration.
Formules dérivés - exponentielles, logarithmiques, trigonométriques, hyperboliques inverses trigonométriques, hyperboliques inverses,, Les différentes formes de la domination de la chaîne, etc
Des formules d'intégration - trigonométriques, hyperboliques, exponentielles et logarithmiques, intégrales définies, des formules diverses.
Faites-nous savoir si vous avez des suggestions / questions. Si vous pensez que toute autre formule doit être répertorié, alors ne nous écrire à education.useful @ gmail.com
What's new in the latest 4.7
Informations Formules de calcul APK
Vieilles versions de Formules de calcul
Formules de calcul 4.7
Formules de calcul 4.6
Formules de calcul 4.5
Téléchargement super rapide et sûr via l'application APKPure
Un clic pour installer les fichiers XAPK/APK sur Android!






