Class 10 Maths NCERT Solutions
15.1 MB
Taille de fichier
Everyone
Android 4.4+
Android OS
À propos de Class 10 Maths NCERT Solutions
NCERT Solutions pour la classe 10 Mathématiques
Si vous recherchez le meilleur et les solutions les plus précises pour NCERT classe 10 Mathématiques, vous devez télécharger cette application maintenant! Nous avons examiné toutes les classes 10 NCERT des questions de mathématiques avant de vous fournir les solutions qui vous aideront à résoudre toutes les questions de mathématiques de classe NCERT 10 sans aucun problème. Nous offrons des solutions gratuits pour les mathématiques NCERT classe 10. Il est disponible pour le téléchargement et peut être consulté. Vous pouvez également partager notre lien pour la classe CBSE gratuit 10 solutions mathématiques NCERT avec vos camarades de classe.
NCERT classe 10 chapitres Mathématiques
Chapitre 1 - Nombres réels
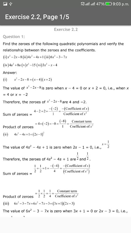
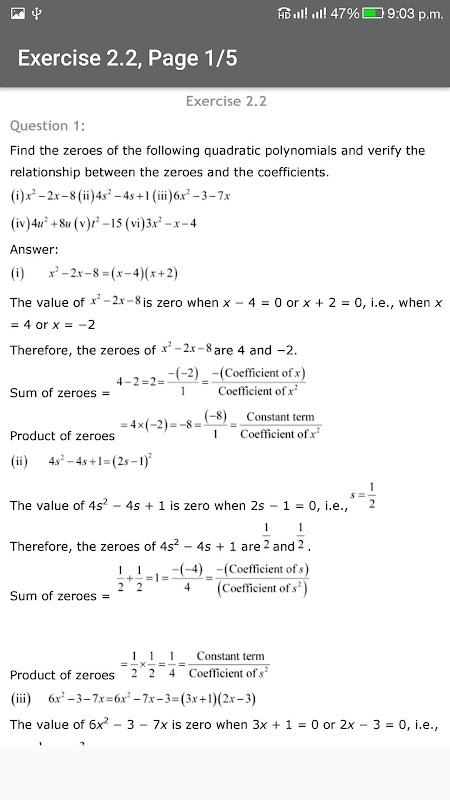
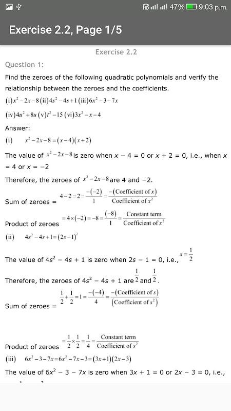
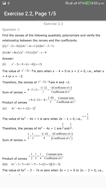
Chapitre 2 - Polynômes
Chapitre 3 - Paire d'équations linéaires à deux variables
Chapitre 4 - équations du second degré
Chapitre 5 - Progressions Arithmétique
Chapitre 6 - Triangles
Chapitre 7 - Géométrie des coordonnées
Chapitre 8 - Introduction à la trigonométrie
Chapitre 9 - Quelques applications de trigonométrie
Chapitre 10 - Circles
Chapitre 11 - Constructions
Chapitre 12 - domaines liés aux cercles
Chapitre 13 - Zones de surface et volumes
Chapitre 14 - Statistiques
Chapitre 15 - Probabilité
What's new in the latest 1.4
Informations Class 10 Maths NCERT Solutions APK
Vieilles versions de Class 10 Maths NCERT Solutions
Class 10 Maths NCERT Solutions 1.4
Class 10 Maths NCERT Solutions 1.3
Class 10 Maths NCERT Solutions 1.2
Class 10 Maths NCERT Solutions 1.1
Téléchargement super rapide et sûr via l'application APKPure
Un clic pour installer les fichiers XAPK/APK sur Android!



