دربارهی Class 10 Maths NCERT Solutions
راه حل های NCERT برای کلاس 10 ریاضی
اگر شما به جستجوی بهترین و دقیق ترین راه حل برای NCERT کلاس 10 ریاضی، پس از آن شما نیاز به دانلود این برنامه در حال حاضر! ما تمام کلاس 10 NCERT ریاضی سوال قبل از شما را با ارائه راه حل هایی که به شما کمک خواهد حل همه NCERT کلاس 10 سوالات ریاضی بدون هیچ مشکلی از نظر گذراند. ما با ارائه راه حل های رایگان برای NCERT ریاضی کلاس 10. برای دانلود در دسترس است و می تواند مشاهده شده است. شما همچنین می توانید لینک ما برای CBSE کلاس 10 ریاضی راه حل های رایگان NCERT با همکلاسی های خود به اشتراک بگذارید.
NCERT کلاس 10 فصل ریاضی
فصل 1 - اعداد حقیقی
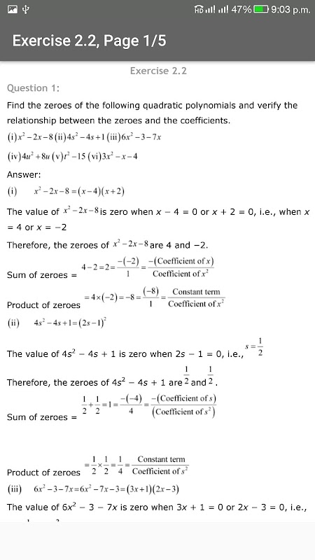
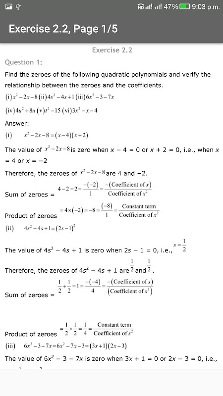
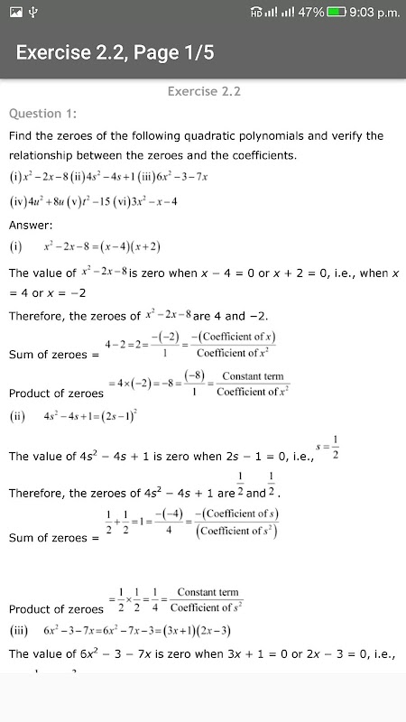
فصل 2 - چند جمله ای
فصل 3 - جفت های معادلات خطی دو متغیر
فصل 4 - معادلات درجه دوم
فصل 5 - پیشرفت حسابی
فصل 6 - مثلث
فصل 7 - هندسه مختصات
فصل 8 - آشنایی با مثلثات
فصل 9 - برخی از برنامه های کاربردی از مثلثات
فصل 10 - تراشنده
فصل 11 - ساخت و ساز
فصل 12 - زمینه های مربوط به محافل
فصل 13 - مساحت سطح و حجم
فصل 14 - آمار
فصل 15 - احتمال
جدیدترین 1.4 چه خبر است
اطلاعات Class 10 Maths NCERT Solutions APK
نسخههای قدیمی Class 10 Maths NCERT Solutions
Class 10 Maths NCERT Solutions 1.4
Class 10 Maths NCERT Solutions 1.3
Class 10 Maths NCERT Solutions 1.2
Class 10 Maths NCERT Solutions 1.1
دانلود فوق سریع و ایمن از طریق برنامه APKPure
برای نصب فایل های XAPK/APK در اندروید با یک کلیک!



