Class 10 Maths NCERT Solutions

Class 10 Maths NCERT Solutions

Aaglod Apps
2022年07月16日
  • 15.1 MB

    文件大小

  • Everyone

  • Android 4.4+

    Android OS

关于Class 10 Maths NCERT Solutions

10级数学NCERT解决方案

如果你正在寻找最好的和最准确的解决方案NCERT 10个数学,那么你需要现在下载这个程序!为您提供解决方案,将帮助您解决所有没有任何问题NCERT 10级数学问题之前,我们已经审核了所有10类NCERT数学问题。我们为NCERT数学课10.免费提供解决方案,它是可供下载,可以查看。你也可以分享我们的链接,和你的同学免费CBSE 10级数学NCERT解决方案。

NCERT 10个数学章节

第1章 - 实数

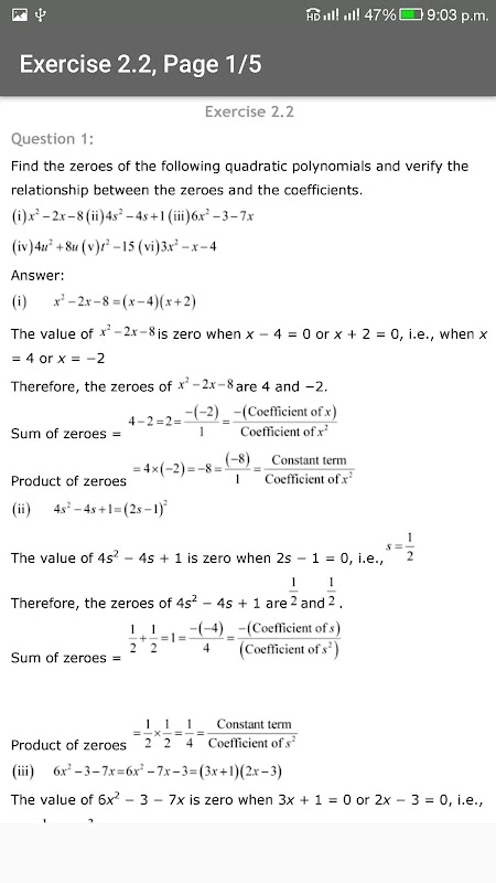
第2章 - 多项式

第3章 - 两个变量线性方程组的一对

第4章 - 二次方程

第5章 - 算术级数

第6章 - 三角形

第7章 - 坐标几何

第8章 - 介绍三角

第9章 - 三角的一些应用

第10章 - 圆

第11章 - 建设

第12章 - 区相关社交圈

第13章 - 表面面积和体积

第14章 - 统计

第15章 - 概率

更多

最新版本1.4的更新日志

Last updated on 2022年07月16日
Bug fixed
更多

视频和屏幕截图

  • Class 10 Maths NCERT Solutions 海报
  • Class 10 Maths NCERT Solutions 截图 1
  • Class 10 Maths NCERT Solutions 截图 2
  • Class 10 Maths NCERT Solutions 截图 3

Class 10 Maths NCERT Solutions APK信息

最新版本
1.4
类别
教育
Android OS
Android 4.4+
文件大小
15.1 MB
开发者
Aaglod Apps
内容分级
Everyone
在APKPure安全快速地下载APK
APKPure 使用签名验证功能,确保为您提供无病毒的 Class 10 Maths NCERT Solutions APK 下载。

Class 10 Maths NCERT Solutions历史版本

APKPure 图标

在APKPure上极速安全下载应用

一键安装安卓XAPK/APK文件!

下载 APKPure
thank icon
We use cookies and other technologies on this website to enhance your user experience.
By clicking any link on this page you are giving your consent to our Privacy Policy and Cookies Policy.
Learn More about Policies