Class 10 Maths NCERT Solutions
15.1 MB
Rozmiar Pliku
Everyone
Android 4.4+
Android OS
O Class 10 Maths NCERT Solutions
Rozwiązania NCERT dla klasy 10 Maths
Jeśli szukasz najlepszych i najdokładniejszych rozwiązań dla NCERT Class 10 Maths, następnie należy pobrać tę aplikację już teraz! Sprawdziliśmy wszystkie klasy 10 NCERT matematyki pytania przed dostarczając rozwiązań, które pomogą Ci rozwiązać wszystkie matematyki NCERT klasa 10 pytań bez problemu. Zapewniamy bezpłatne rozwiązania NCERT matematyki klasy 10. Jest on dostępny do pobrania i mogą być przeglądane. Można również udostępnić nasz link za darmo CBSE klasy 10 matematycznych rozwiązań NCERT ze swoimi kolegami.
NCERT Class 10 Maths Rozdziały
Rozdział 1 - liczb rzeczywistych
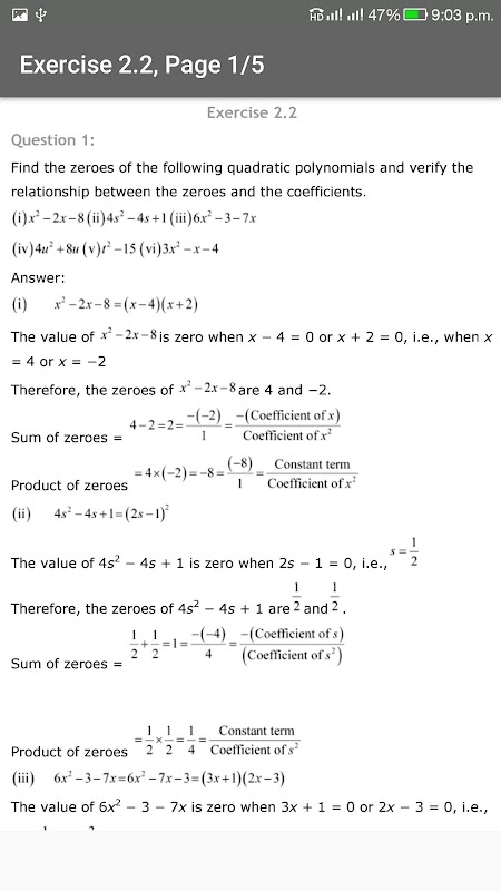
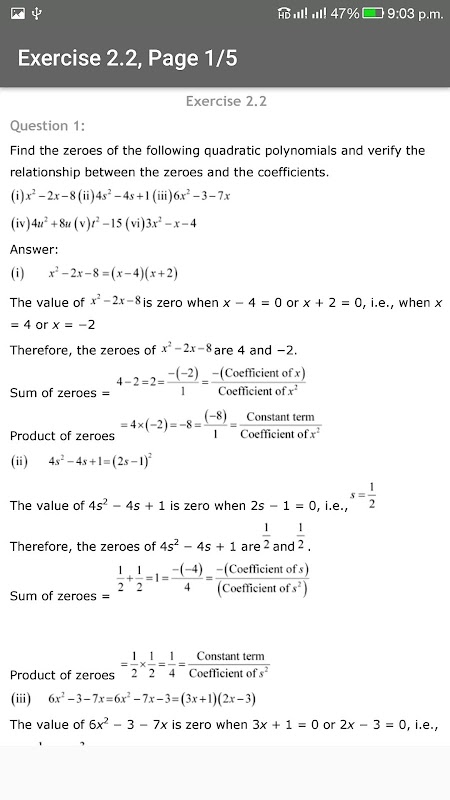
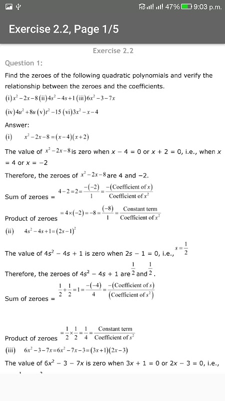
Rozdział 2 - Wielomiany
Rozdział 3 - Para równań liniowych dwóch zmiennych
Rozdział 4 - Równania kwadratowe
Rozdział 5 - ciąg arytmetyczny
Rozdział 6 - Trójkąty
Rozdział 7 - geometrii współrzędnych
Rozdział 8 - Wprowadzenie do Trygonometria
Rozdział 9 - Niektóre Zastosowania trygonometrii
Rozdział 10 - Circles
Rozdział 11 - budownictwo
Rozdział 12 - obszary związane z Kół
Rozdział 13 - powierzchnie i objętości
Rozdział 14 - Statystyka
Rozdział 15 - Prawdopodobieństwo
What's new in the latest 1.4
Informacje Class 10 Maths NCERT Solutions APK
Stare wersje Class 10 Maths NCERT Solutions
Class 10 Maths NCERT Solutions 1.4
Class 10 Maths NCERT Solutions 1.3
Class 10 Maths NCERT Solutions 1.2
Class 10 Maths NCERT Solutions 1.1
Superszybkie i bezpieczne pobieranie za pośrednictwem aplikacji APKPure
Jedno kliknięcie, aby zainstalować pliki XAPK/APK na Androidzie!



