About Class 10 Maths NCERT Solutions
NCERT Solutions for Class 10 Maths
If you are searching for the best and the most accurate solutions for NCERT Class 10 Maths, then you need to download this app now! We have reviewed all the Class 10 NCERT maths questions before providing you with the solutions that will help you solve all the NCERT class 10 maths questions without any problem. We provide free solutions for NCERT maths class 10. It is available for download and can be viewed. You can also share our link for free CBSE class 10 maths NCERT solutions with your classmates.
NCERT Class 10 Maths Chapters
Chapter 1 - Real Numbers
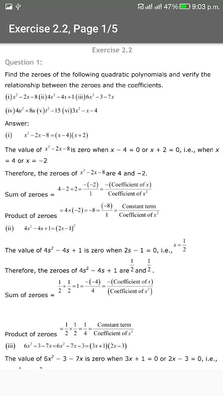
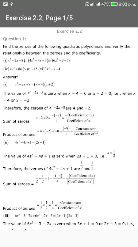
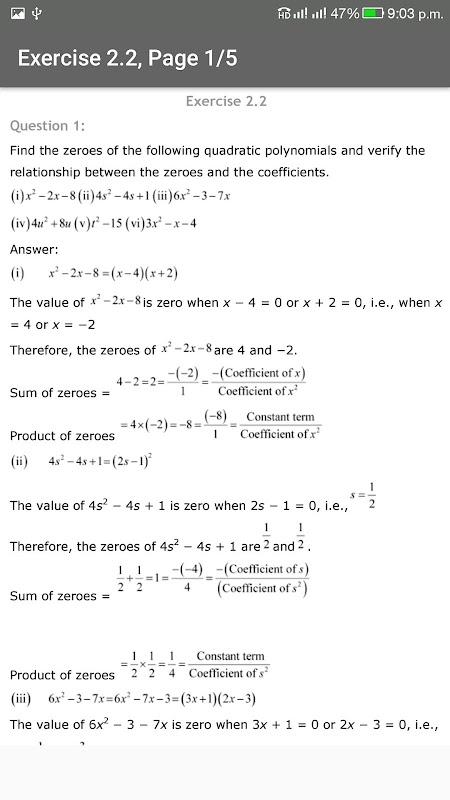
Chapter 2 - Polynomials
Chapter 3 - Pair of Linear Equations in Two Variables
Chapter 4 - Quadratic Equations
Chapter 5 - Arithmetic Progressions
Chapter 6 - Triangles
Chapter 7 - Coordinate Geometry
Chapter 8 - Introduction to Trigonometry
Chapter 9 - Some Applications of Trigonometry
Chapter 10 - Circles
Chapter 11 - Constructions
Chapter 12 - Areas Related to Circles
Chapter 13 - Surface Areas and Volumes
Chapter 14 - Statistics
Chapter 15 - Probability
What's new in the latest 1.4
Class 10 Maths NCERT Solutions APK Information
Old Versions of Class 10 Maths NCERT Solutions
Class 10 Maths NCERT Solutions 1.4
Class 10 Maths NCERT Solutions 1.3
Class 10 Maths NCERT Solutions 1.2
Class 10 Maths NCERT Solutions 1.1
Super Fast and Safe Downloading via APKPure App
One-click to install XAPK/APK files on Android!



