Over Linear Algebra Solver Pro
Lineaire algebra Matrix- en vectorberekeningen, stapsgewijze oplosser, Pro-versie
De toepassing voor de berekening van matrices, determinanten en vectoren is een zeer nuttig hulpmiddel. Het is ontworpen voor studenten en ingenieurs die matrixberekeningen gebruiken in hun studie of werk.
Het programma zal, met behulp van de nodige formules, stapsgewijze berekeningen uitvoeren en een gedetailleerde oplossing weergeven. U kunt een matrix berekenen met afmetingen tot 5x5 en vectoren in 2D/3D. Elke rekenmachine bevat een kleine theorie over een specifieke taak.
Het bevat ook een generator voor willekeurige getallen waarmee u snel voorbeeldexpressies met willekeurige getallen kunt maken.
De applicatie voert de volgende bewerkingen uit met matrices:
• Matrixoptelling
• Matrixaftrekking
• Scalaire vermenigvuldiging van matrixen
• Matrixvierkant
• Matrixvermenigvuldiging
• Matrixtranspositie
Bepalende berekeningen:
• Berekening van de determinant met behulp van de Sarrus-methode
• Berekening van de determinant met behulp van de Laplace-methode
Vectorbewerkingen:
• Vectorlengte
• Vectorcoördinaten op basis van twee punten
• Optelling van vectoren
• Vectoren aftrekken
• Scalaire en vectorvermenigvuldiging
• Scalair product van vectoren
• Kruisproduct van vectoren
• Gemengd (scalair) drievoudig product
• Hoek tussen twee vectoren
• Projectie van een vector op een andere vector
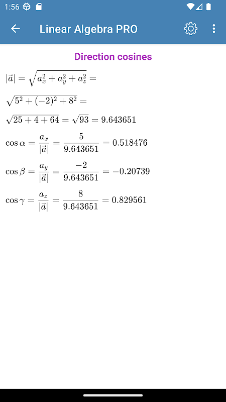
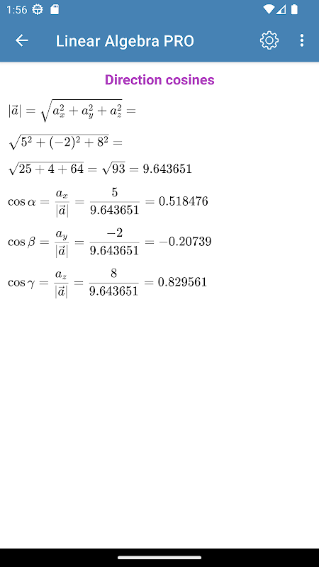
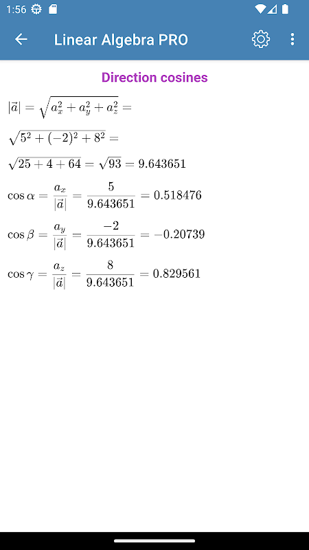
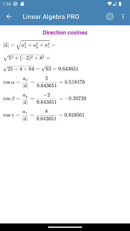
• Richtingscosinussen
• Collineaire vectoren
• Orthogonale vectoren
• Coplanaire vectoren
• Gebied van een driehoek gevormd door vectoren
• Oppervlakte van een parallellogram gevormd door vectoren
• Volume van de piramide gevormd door vectoren
• Volume van een parallellepipedum gevormd door vectoren
De inhoud van de applicatie is beschikbaar in de volgende talen: Engels, Frans, Duits, Italiaans, Portugees, Russisch, Spaans en Oekraïens.
De applicatie wordt actief ontwikkeld en aangevuld met nieuwe rekenmachines. Blijf voor updates!
What's new in the latest 3.0
Linear Algebra Solver Pro APK -informatie
Supersnel en veilig downloaden via de APKPure-app
Eén klik om XAPK/APK-bestanden op Android te installeren!







