cours de maths 3eme collège hakkında
matematik sınıfı yıl kolej matematik sınıfı egzersiz matematik 3. yardım ödevi
3. yıl üniversite matematik sınıfı ve 3. yıl matematik alıştırmaları
Bu, egzersizleri üçüncü sırada uygulamanıza ve ardından ilgili egzersizi düzelterek hatalarınızı tespit etmenize olanak tanır.
Tüm bu sayfalar, öğretmeninizin vereceği derslerin başka bir versiyonuna sahip olmanıza, ayrıca milli eğitimin resmi programının tüm bölümlerini içeren farklı içerikteki yüzlerce matematik alıştırması üzerinde çalışmanıza izin verir.
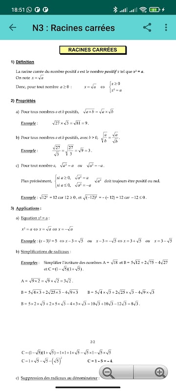
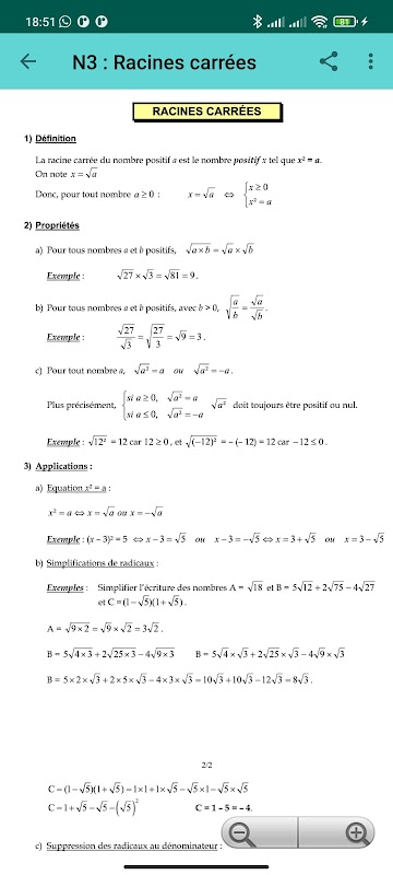
3. sınıf matematik programının PDF dosyası biçimindeki ana bölümleri, rasyonel sayılar ve aritmetik, Thales ve Pisagor teoremi, literal hesap ve dikkat çekici özdeşlikler, sayısal fonksiyonlarda genellemeler, lineer fonksiyonlar ve afinler, dik üçgende trigonometri, uzayda geometri ve cilt bölümleri ve diğer birçok kavram.
إليك في هذه الصفحة جميع دروس السنة الثيسنة إعدادي مادة الرياضيات خيار فرنسية للدورة الأولالة والثانية والورة نرية نرياريادي وتحتوي على:
Yabancı dil olarak da bilinir. العن تحتاج الى البحث عن أي تمارين أو دروس ثالثة اعدادي خيار فرنسي في أي تطبيق أخر.
كما نوفر لك في هذه الصفحة جميع فروض الرياضيات خيار فرنسي للسنة الثالثة اعدادي للدورتين الأولى والثانية بالاضافة الى فروض منزلية في مادة الرياضيات للسنة الثالثة اعدادي خيار فرنسي
What's new in the latest 2.1
cours de maths 3eme collège APK Bilgileri
cours de maths 3eme collège'in eski sürümleri
cours de maths 3eme collège 2.1
cours de maths 3eme collège 1.2
APK Uygulaması ile Süper Hızlı ve Güvenli İndirme
XAPK/APK dosyalarını Android'e yüklemek için tek tıkla!





