دربارهی cours de maths 3eme collège
کلاس ریاضی سال کالج کلاس ریاضی تمرین ریاضی تکلیف خانه 3
کلاس ریاضی سال سوم کالج و تمرینات ریاضی سال سوم
این به شما این امکان را می دهد که تمرینات را در مرحله سوم تمرین کنید و سپس با اصلاح تمرین مربوطه ، اشتباهات خود را تشخیص دهید.
همه این برگه ها به شما امکان می دهد نسخه دیگری از دوره هایی را که معلم شما ارائه می دهد ، داشته باشید ، همچنین صدها تمرین ریاضی را با محتوای مختلف کار کنید و شامل تمام فصل های برنامه رسمی آموزش ملی باشد.
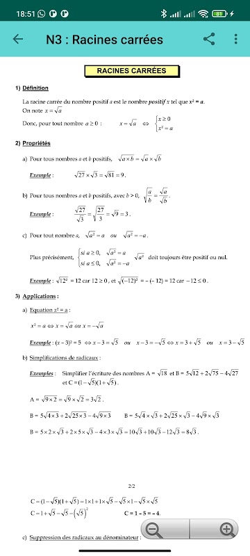
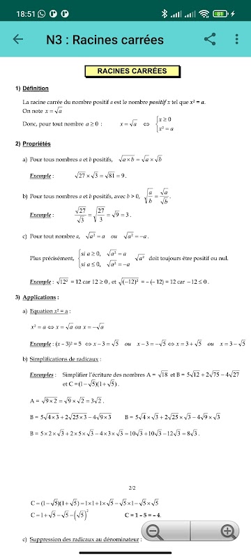
فصل های اصلی برنامه ریاضی سال سوم به صورت فایل PDF مانند اعداد منطقی و حساب ، قضیه تالس و فیثاغورث ، محاسبه تحت اللفظی و هویت های قابل توجه ، کلیات در توابع عددی ، توابع و خطوط خطی ، مثلثات در مثلث راست ، هندسه در فضا و بخشهایی از مجلدات و بسیاری از مفاهیم دیگر.
إليك في هذه الصفحة جميع دروس السنة الثالثة إعدادي مادة الرياضيات خيار فرنسية للدورة الأولالي والثانية نالولي والثانية نمسرورية ندسورية وتحتوي علي:
دروس مفصلة ومارين مرفقة بالحلول رياضيات الثالثة اعدادي للدورة الأولي والتانية خيار فرنسية ولجميع الدروس في مكان واحد. لن تحتاج الى البحث عن أي تمارين أو دروس ثالثة اعدادي خيار فرنسي في أي تطبيق أخر.
كما نوفر لك في هذه الصفحة جميع فروض الرياضيات خيار فرنسي للسنة الثالثة اعدادي للدورتين الأولي والثانية بالاضافة الي فروض منزلية في مادة الرياضيات للسنة الثالثة اعداد
جدیدترین 2.1 چه خبر است
اطلاعات cours de maths 3eme collège APK
نسخههای قدیمی cours de maths 3eme collège
cours de maths 3eme collège 2.1
cours de maths 3eme collège 1.2
دانلود فوق سریع و ایمن از طریق برنامه APKPure
برای نصب فایل های XAPK/APK در اندروید با یک کلیک!





