Giới thiệu về cours de maths 3eme collège
toán lớp năm đại học toán lớp bài tập toán học trợ giúp bài tập thứ 3
Bài tập toán đại học năm 3 và bài tập toán năm 3 |
Điều này sẽ cho phép bạn thực hành các bài tập thứ ba và sau đó phát hiện ra những sai lầm của bạn thông qua việc sửa chữa bài tập có liên quan.
Tất cả những tờ giấy này cho phép bạn có một phiên bản khác của các môn học do giáo viên của bạn cung cấp, đồng thời giải hàng trăm bài tập toán với nhiều nội dung khác nhau và liên quan đến tất cả các chương của chương trình chính thức của giáo dục quốc dân.
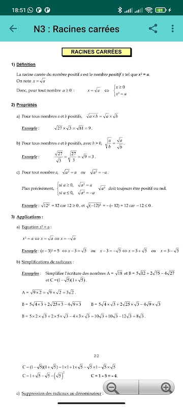
Các chương chính của chương trình toán lớp 3 dưới dạng file PDF như số hữu tỉ và số học, định lý Thales và Pythagoras, phép tính tích chữ và các phép đồng dạng đáng chú ý, đại cương về hàm số, hàm số tuyến tính và affines, lượng giác trong tam giác vuông, hình học trong không gian và các phần của tập và nhiều khái niệm khác.
إليك في هذه الصفحة جميع دروس السنة الثالثة إعدادي مادة الرياضيات خيار فرنسية للدورة الأولالى والثانية نالولى والثانية نمسرورية ندسورية وتحتوي على:
دروس مفصلة ومارين مرفقة بالحلول رياضيات الثالثة اعدادي للدورة الأولى والتانية خيار فرنسية ولجميع الدروس في مكان واحد. لن تحتاج الى البحث عن أي تمارين أو دروس ثالثة اعدادي خيار فرنسي في أي تطبيق أخر.
Trò chơi điện tử
What's new in the latest 2.1
Thông tin APK cours de maths 3eme collège
Phiên bản cũ của cours de maths 3eme collège
cours de maths 3eme collège 2.1
cours de maths 3eme collège 1.2
Tải xuống siêu nhanh và an toàn thông qua Ứng dụng APKPure
Một cú nhấp chuột để cài đặt các tệp XAPK/APK trên Android!





