About cours de maths 3eme collège
math class year college math class exercise math 3rd aid homework
3rd year college math class and 3rd year math exercises
This will allow you to practice the exercises in third and then spot your mistakes through correcting the exercise concerned.
All these sheets allow you to have another version of the courses which will be given by your teacher but also, to work on hundreds of math exercises with different content and which involve all the chapters of the official program of the national education.
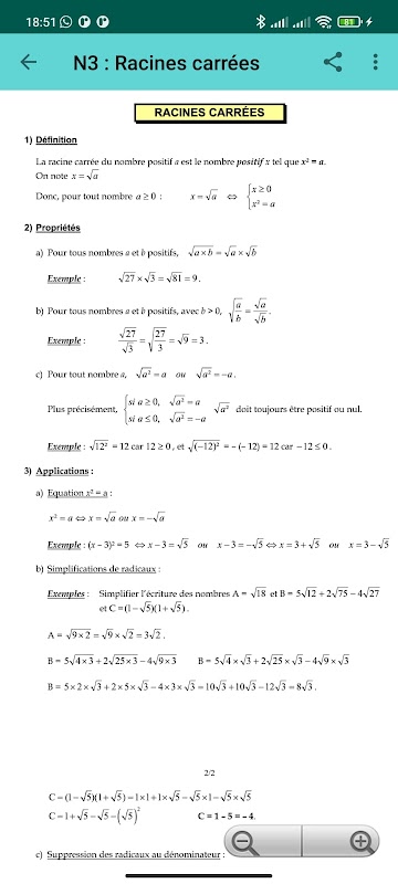
The main chapters of the 3rd year math program in PDF file form such as rational numbers and arithmetic, Thales and Pythagoras theorem, literal calculus and remarkable identities, generalities on numerical functions, linear functions and affines, trigonometry in the right triangle, geometry in space and sections of volumes and many other notions.
إليك في هذه الصفحة جميع دروس السنة الثالثة إعدادي مادة الرياضيات خيار فرنسية للدورة الأولالى والثانية نالولى والثانية نمسرورية ندسورية وتحتوي على:
دروس مفصلة ومارين مرفقة بالحلول رياضيات الثالثة اعدادي للدورة الأولى والتانية خيار فرنسية ولجميع الدروس في مكان واحد. لن تحتاج الى البحث عن أي تمارين أو دروس ثالثة اعدادي خيار فرنسي في أي تطبيق أخر.
كما نوفر لك في هذه الصفحة جميع فروض الرياضيات خيار فرنسي للسنة الثالثة اعدادي للدورتين الأولى والثانية بالاضافة الى فروض منزلية في مادة الرياضيات للسنة الثالثة اعدادي خيار فرنسي
What's new in the latest 2.1
cours de maths 3eme collège APK Information
Old Versions of cours de maths 3eme collège
cours de maths 3eme collège 2.1
cours de maths 3eme collège 1.2
Super Fast and Safe Downloading via APKPure App
One-click to install XAPK/APK files on Android!





