關於cours de maths 3eme collège
數學課年大學數學課練習數學第三次輔導作業
大學三年級數學課和三年級數學練習
這樣你就可以在第三個練習中練習,然後通過糾正相關的練習來發現你的錯誤。
所有這些表格都允許您擁有由您的老師提供的課程的另一個版本,但也可以進行數百個不同內容的數學練習,這些練習涉及國家教育官方計劃的所有章節。
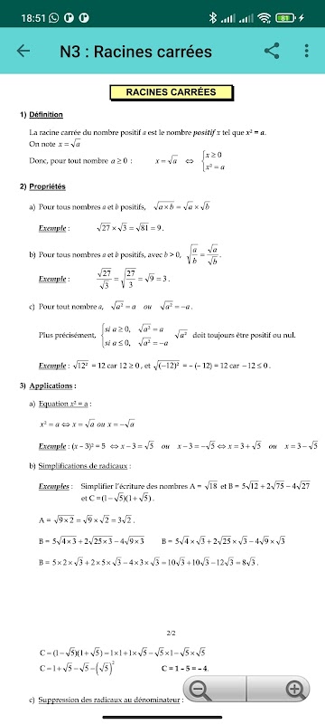
PDF 文件格式的第三年數學課程的主要章節,如有理數和算術、泰勒斯和畢達哥拉斯定理、文字微積分和顯著恆等式、數值函數的一般性、線性函數和仿射、直角三角形中的三角學、空間幾何和卷的部分和許多其他概念。
إليكفيهذهالصفحةجميعدروسالسنةالثالثةإعداديمادةالرياضياتخيارفرنسيةللدورةالأولالىوالثانيةنالولىوالثانيةنمسروريةندسورية وتحتوي على:
دروس مفصلة ومارين مرفقة بالحلول رياضيات لن تحتاج الى البحث عن أي تمارين أو دروس ثالثة اعدادي خيار فرنسي في أي تطبيق.أخق
كمانوفرلكفيهذهالصفحةجميعفروضالرياضياتخيارفرنسيللسنةالثالثةاعداديللدورتينالأولىوالثانيةبالاضافةالىفروضمنزليةفيمادةالرياضياتللسنةالثالثةاعداديخيارفرنسي
最新版本2.1的更新日誌
Last updated on 2021年09月20日
Minor bug fixes and improvements. Install or update to the newest version to check it out!
cours de maths 3eme collège APK信息
在APKPure安全快速地下載APK
APKPure 使用簽章驗證功能,確保為您提供無病毒的 cours de maths 3eme collège APK 下載。
cours de maths 3eme collège歷史版本
cours de maths 3eme collège 2.1
8.1 MB2018年02月09日
cours de maths 3eme collège 1.2
10.0 MB2021年09月25日





