GATE Maths সম্পর্কে
এটা তোলে ইঞ্জিনিয়ারিং গণিত জন্য সব সূত্র একটি উৎস।
বিষয় আচ্ছাদিত:
* ক্যালকুলাস
1. ম্যাকলৌরিন এবং Taylors সিরিজ
2. অনিশ্চিত ফর্ম
3. আংশিক বিচ্ছেদ
4. পিডি আবেদন
5. Curves ট্রেসিং
6. ধারা এবং সিরিজ
7. অনুপযুক্ত ইন্টিগ্রেটেড
8. একাধিক ইন্টিগ্রেটেড
9. হ্রাস সূত্র
* গণিত -2
1. লিনিয়ার সমীকরণের Matrices সিস্টেম
2. ভেক্টর স্পেস
3. লিনিয়ার রূপান্তর
4. অভ্যন্তরীণ পণ্য স্পেস
5. Eigenvalues- Eigenvectors
6. ভেক্টর ফাংশন
7. ভেক্টর ক্যালকুলাস
* উন্নত প্রকৌশল গণিত: -
1. প্রথম আদেশ
2. উচ্চ আদেশ
3. Laplace
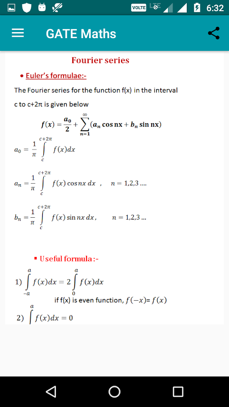
4. ফোরিয়ার
5. পাওয়ার সিরিজ
6. পি। ডি। ই
* সংখ্যাসূচক পদ্ধতি: -
1) ত্রুটি বিশ্লেষণ এবং পুনরাবৃত্তি পদ্ধতি
2) সীমাবদ্ধ পার্থক্য এবং হস্তক্ষেপ
3) সংখ্যাসূচক বিভাজন এবং ইন্টিগ্রেশন
4) সাধারণ ডিফারেনশিয়াল সমীকরণের সংখ্যাসূচক সমাধান
5) রৈখিক বীজগণিত সমীকরণ সিস্টেম
* জটিল পদ্ধতি: -
1) জটিল সংখ্যা এবং প্রাথমিক ফাংশন
2) বিশ্লেষণমূলক ফাংশন
3) জটিল ইন্টিগ্রেশন
4) পাওয়ার সিরিজ
5) অবশিষ্টাংশ তত্ত্ব
* সম্ভাব্যতা এবং পরিসংখ্যান: -
1) সম্ভাব্য মৌলিক ধারণা
2) র্যান্ডম ভেরিয়েবল এবং শর্তাধীন ডিস্ট্রিবিউশন ধারণা
3) পরিসংখ্যান গণনা
4) সম্পর্ক এবং প্রতিক্রিয়া
5) বক্ররেখা ফিটিং এবং ছোট স্কোয়ার নীতি
* বেসিক সূত্র
1) ইন্টিগ্রেশন
2) বিচ্ছেদ
3) Trigonometry
* আমরা এই বিষয়টির সাথে বর্তমান বিষয়গুলিও আচ্ছাদিত করি যা পরীক্ষা প্রস্তুতির জন্য সহায়ক হবে
* আমরা আপনার কাছ থেকে শুনতে ভালোবাসতাম! দয়া করে আমাদের বলুন আমরা কীভাবে কাজ করছি বা কিভাবে আমরা আপনাকে সাহায্য করতে পারি
* এটি একটি সুন্দর এবং ইন্টারেক্টিভ ইন্টারফেসে তথ্য প্রদর্শন করে, এটি অ্যাক্সেস এবং পড়তে সহজ করে তোলে।
What's new in the latest 1.2
GATE Maths APK Information
GATE Maths এর পুরানো সংস্করণ
GATE Maths 1.2
GATE Maths 1.1
GATE Maths 1.0
APKPure অ্যাপের মাধ্যমে অতি দ্রুত এবং নিরাপদ ডাউনলোড করা হচ্ছে
Android-এ XAPK/APK ফাইল ইনস্টল করতে এক-ক্লিক করুন!






