About GATE Maths
It is a source of all formulas for engineering Mathematics.
Topic Covered:
* Calculus
1. Maclaurins and Taylors Series
2. Indeterminate Forms
3. Partial Differentiation
4. Application of PD
5. Tracing Of Curves
6. Sequences and Series
7. Improper Integrals
8. Multiple Integrals
9. Reduction Formulas
* Maths-2
1. Matrices System of Linear Equations
2. Vector Spaces
3. Linear Transformation
4. Inner product Spaces
5. Eigenvalues-Eigenvectors
6. Vector Functions
7. Vector Calculus
* Advanced Engineering Mathematics :-
1. First Order
2. Higher Order
3. Laplace
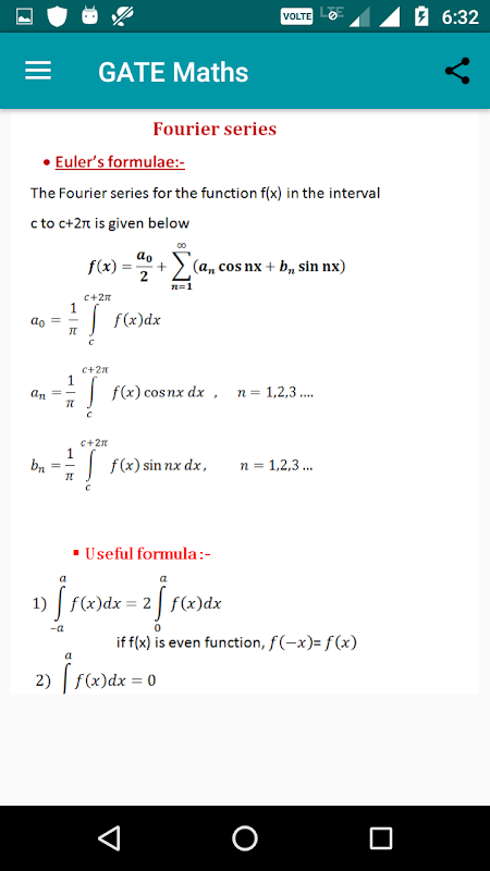
4. Fourier
5. Power Series
6. P.D.E
* Numerical Method :-
1) error analysis and iterative methods
2) finite differences and interpolation
3) numerical differentiation and integration
4) numerical solution of ordinary differential equation
5) system of linear algebra equations
* Complex Method :-
1) complex numbers and elementary functions
2) analytic functions
3) complex integration
4) power series
5) Residue Theorem
* Probability & Statistics :-
1) Basic concepts of probability
2) The Concept of Random Variables and Conditional Distributions
3) Statistical computation
4) Correlation and Regression
5) Curve Fitting and Principle of Least Squares
* Basic Formulas
1) Integration
2) Differentiation
3) Trigonometry
* We Also Cover Current Affairs With this app which would be helpful to exam preparation
* We'd love to hear from you! Please tell us how we are doing or how we can help you
* It displays data in a beautiful and interactive interface, making it easier to access and read.
What's new in the latest 1.2
GATE Maths APK معلومات
کے پرانے ورژن GATE Maths
GATE Maths 1.2
GATE Maths 1.1
GATE Maths 1.0
APKPure ایپکےذریعےانتہائی تیزاورمحفوظڈاؤنلوڈنگ
Android پر XAPK/APK فائلیںانسٹالکرنےکےلیےایککلککریں!






