Mengenai GATE Maths
Ia adalah sumber semua formula untuk kejuruteraan Matematik.
Topik Dilindungi:
* Kalkulus
1. Maclaurins dan Taylors Series
2. Borang Tidak Berjangka
3. Pembezaan separa
4. Pemakaian PD
5. Mengesan Kurva
6. Urutan dan Siri
7. Integral yang tidak betul
8. Multiple Integrals
9. Rumusan Pengurangan
* Matematik-2
1. Sistem Matriks Persamaan Linear
2. Ruang Vektor
3. Transformasi Linear
4. Ruang Produk Dalam
5. Eigenvalues-Eigenvectors
6. Fungsi Vektor
7. Kalkulus Vektor
* Matematik Kejuruteraan Lanjutan: -
1. Perintah Pertama
2. Perintah yang lebih tinggi
3. Laplace
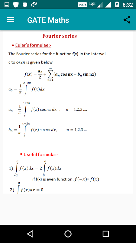
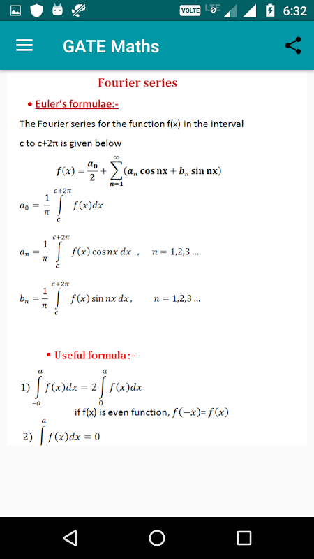
4. Fourier
5. Siri Kuasa
6. P.D.E
* Kaedah Numerikal: -
1) analisis ralat dan kaedah iteratif
2) perbezaan terhingga dan interpolasi
3) pembezaan berangka dan integrasi
4) penyelesaian berangka persamaan pembezaan biasa
5) sistem persamaan aljabar linier
* Kaedah Kompleks: -
1) nombor kompleks dan fungsi asas
2) fungsi analitik
3) integrasi yang kompleks
4) siri kuasa
5) Teori Sisa
* Kemungkinan & Statistik: -
1) Konsep asas kebarangkalian
2) Konsep Pembolehubah Rawak dan Pengagihan Bersyarat
3) pengiraan statistik
4) Korelasi dan Regresi
5) Pemasangan Curve dan Prinsip Paling Tidak Squares
* Formula Asas
1) Integrasi
2) Pembezaan
3) Trigonometri
* Kami Juga Meliputi Hal Ehwal Semasa Dengan aplikasi ini yang akan membantu penyediaan peperiksaan
* Kami ingin mendengar daripada anda! Sila beritahu kami bagaimana kami lakukan atau bagaimana kami dapat membantu anda
* Ia memaparkan data dalam antara muka yang indah dan interaktif, menjadikannya mudah untuk diakses dan dibaca.
What's new in the latest 1.2
Maklumat APK GATE Maths
Versi lama GATE Maths
GATE Maths 1.2
GATE Maths 1.1
GATE Maths 1.0
Muat Turun Super Pantas dan Selamat melalui Apl APKPure
Satu klik untuk memasang fail XAPK/APK pada Android!






