GATE Maths के बारे में
यह इंजीनियरिंग गणित के लिए सभी सूत्रों का एक स्रोत है।
विषय कवर:
* पथरी
1. मैकलॉरिन्स एंड टेलर्स सीरीज़
2. अनिश्चित रूप
3. आंशिक भेदभाव
4. पीडी का आवेदन
5. घटता का अनुरेखण
6. अनुक्रम और श्रृंखला
7. अनुचित अभिन्न
8. कई इंटीग्रल
9. सूत्र कम करना
* मैथ्स -2
1. रेखीय समीकरणों की मैट्रिक्स प्रणाली
2. वेक्टर रिक्त स्थान
3. रैखिक परिवर्तन
4. भीतरी उत्पाद रिक्त स्थान
5. आइगेनवेल्यूज-ईजेनवेक्टर
6. वेक्टर कार्य
7. वेक्टर पथरी
* उन्नत इंजीनियरिंग गणित: -
1. पहला आदेश
2. उच्च आदेश
3. लाप्लास
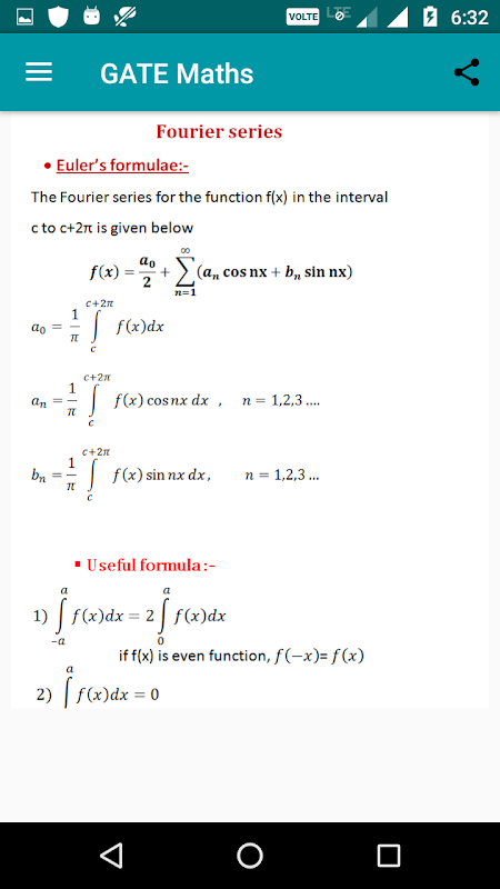
4. फूरियर
5. पावर सीरीज
6. P.D.E.
* संख्यात्मक विधि: -
1) त्रुटि विश्लेषण और पुनरावृत्त तरीके
2) परिमित अंतर और प्रक्षेप
3) संख्यात्मक विभेदीकरण और एकीकरण
4) साधारण अंतर समीकरण का संख्यात्मक समाधान
5) रैखिक बीजगणित समीकरणों की प्रणाली
* जटिल विधि: -
1) जटिल संख्या और प्राथमिक कार्य
2) विश्लेषणात्मक कार्य
3) जटिल एकीकरण
4) बिजली श्रृंखला
5) अवशेष प्रमेय
* संभाव्यता और सांख्यिकी: -
1) संभाव्यता की मूल अवधारणा
2) यादृच्छिक चर और सशर्त वितरण की अवधारणा
3) सांख्यिकीय संगणना
4) सहसंबंध और प्रतिगमन
5) वक्र फिटिंग और कम से कम वर्ग का सिद्धांत
* मूल सूत्र
1) एकीकरण
2) भेदभाव
3) त्रिकोणमिति
* हम इस ऐप के साथ करंट अफेयर्स को भी कवर करते हैं जो परीक्षा की तैयारी में सहायक होगा
* हमे आपसे सुनने में ख़ुशी होगी! कृपया बताएं कि हम कैसे कर रहे हैं या हम आपकी कैसे मदद कर सकते हैं
* यह एक सुंदर और इंटरैक्टिव इंटरफ़ेस में डेटा प्रदर्शित करता है, जिससे इसे एक्सेस करना और पढ़ना आसान होता है।
What's new in the latest 1.2
GATE Maths APK जानकारी
GATE Maths के पुराने संस्करण
GATE Maths 1.2
GATE Maths 1.1
GATE Maths 1.0
APKPure ऐप के माध्यम से सुपर तेज़ और सुरक्षित डाउनलोडिंग
एंड्रॉइड पर XAPK/APK फ़ाइलें इंस्टॉल करने के लिए एक-क्लिक करें!






