Math Tricks & Formulas সম্পর্কে
শর্টকাট গণিত ঠাট এবং গুণন, বিভাজন, স্কয়ার, বাকি জন্য সূত্র
এই অ্যাপ্লিকেশন যারা calculation.Tricks যা ম্যাথ ট্রিকস অ্যাপ্লিকেশন দেওয়া হয় অনেক দ্রুত এবং সহজে গাণিতিক কাজগুলো সমাধান করতে সাহায্য করবে গতি গাণিতিক ঠাট শিখতে চান জন্য ডিজাইন করা হয়.
এই অ্যাপ্লিকেশন একাধিক ট্রিকস উপলব্ধ নিচে দেওয়া হিসাবে:
-Addition ট্রিকস
-Division ট্রিকস
-Subtraction ট্রিকস
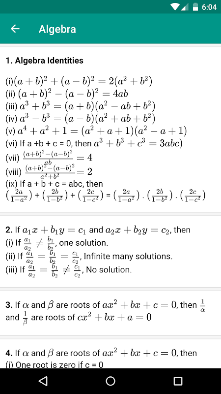
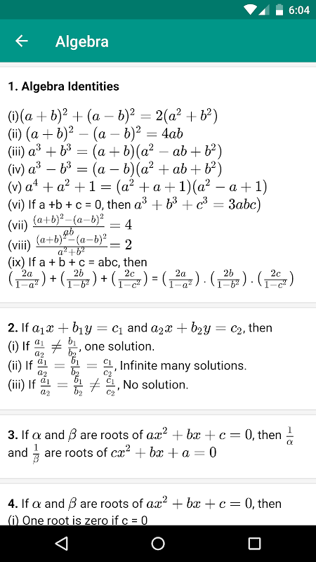
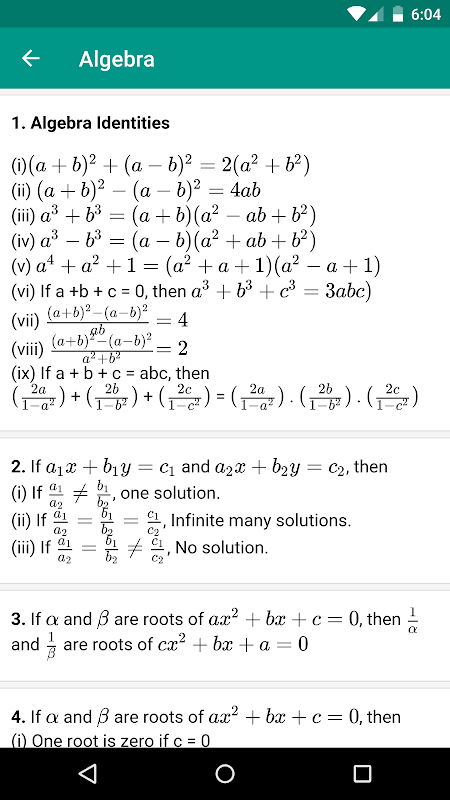
-Multiplication ট্রিকস
-Square ট্রিকস
-Remainder ট্রিকস
-Percentage ট্রিকস
ট্রিকস -Numbers
-Square রুট ট্রিকস
5 দ্বারা -Dividing
দ্বারা -Multiply 5
দ্বারা -Multiply 9
দ্বারা -Multiply 4
এই সংস্করণ বিনামূল্যে এবং সবসময় মুক্ত হবে
What's new in the latest 2.2
Last updated on 2019-02-26
Improved layout
Math Tricks & Formulas APK Information
এপিকিপিউর এ নিরাপদ এবং দ্রুত APK ডাউনলোড
APKPure বিরুদ্ধ সংকেতচিহ্ন যাচাইকরণ ব্যবহার করে আপনাকে ভাইরাস মুক্ত Math Tricks & Formulas APK ডাউনলোড উপলব্ধ করানোর জন্য।
Math Tricks & Formulas এর পুরানো সংস্করণ
Math Tricks & Formulas 2.2
8.7 MBFeb 26, 2019
Math Tricks & Formulas 2.1
8.8 MBMar 9, 2017
Math Tricks & Formulas 2.0.1
8.8 MBJan 25, 2017
Math Tricks & Formulas 2.0
8.7 MBJan 11, 2017
APKPure অ্যাপের মাধ্যমে অতি দ্রুত এবং নিরাপদ ডাউনলোড করা হচ্ছে
Android-এ XAPK/APK ফাইল ইনস্টল করতে এক-ক্লিক করুন!







