Giới thiệu về Math Tricks & Formulas
thủ thuật toán học Shortcut và công thức cho phép nhân, chia, quảng trường, còn lại
App này được thiết kế cho những người muốn tìm hiểu thủ đoạn toán học để tăng tốc độ calculation.Tricks được đưa ra trong Toán ứng dụng Tricks sẽ giúp đỡ để giải quyết công việc toán học nhanh hơn và dễ dàng.
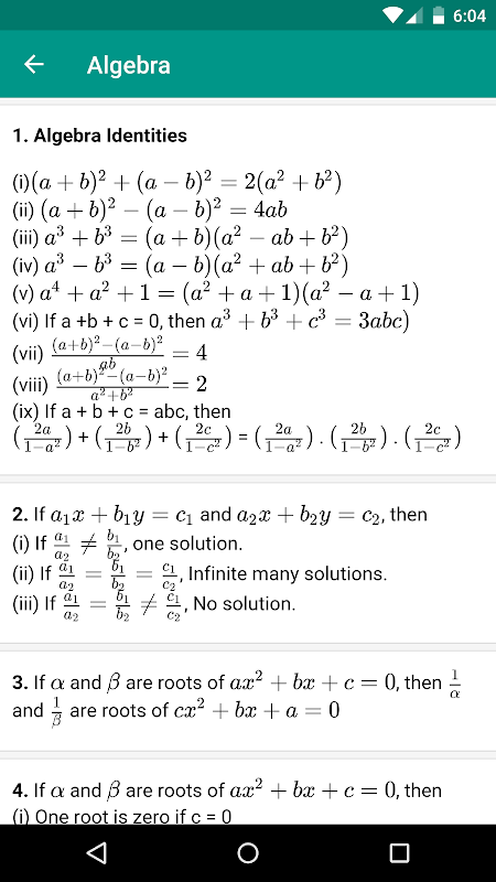
App này Cung cấp Nhiều Tricks như đưa ra dưới đây:
-Addition Tricks
-Division Tricks
-Subtraction Tricks
-Multiplication Tricks
Tricks -Square
Tricks -Remainder
Tricks -Percentage
-Numbers Tricks
-Square Gốc Tricks
-Dividing 5
-Multiply 5
-Multiply 9
-Multiply 4
Phiên bản này là miễn phí và sẽ luôn luôn được tự do
What's new in the latest 2.2
Last updated on 2019-02-26
Improved layout
Thông tin APK Math Tricks & Formulas
Tải APK an toàn và nhanh chóng trên APKPure
APKPure sử dụng xác minh chữ ký để đảm bảo tải APK miễn phí virus cho Math Tricks & Formulas.
Phiên bản cũ của Math Tricks & Formulas
Math Tricks & Formulas 2.2
8.7 MBFeb 26, 2019
Math Tricks & Formulas 2.1
8.8 MBMar 9, 2017
Math Tricks & Formulas 2.0.1
8.8 MBJan 25, 2017
Math Tricks & Formulas 2.0
8.7 MBJan 11, 2017
Tải xuống siêu nhanh và an toàn thông qua Ứng dụng APKPure
Một cú nhấp chuột để cài đặt các tệp XAPK/APK trên Android!







