دربارهی Math Tricks & Formulas
ترفندهای ریاضی میانبر و فرمول برای ضرب، تقسیم، میدان، باقی مانده
این برنامه برای کسانی که می خواهند به یادگیری ترفندهای ریاضی برای سرعت بخشیدن به calculation.Tricks که در برنامه کلاهبرداری ریاضی داده شده کمک خواهد کرد برای حل اعمال ریاضی بسیار سریع تر و به راحتی طراحی شده است.
این برنامه فراهم می کلاهبرداری های متعدد به شرح زیر داده می شود:
-Addition کلاهبرداری
-Division کلاهبرداری
-Subtraction کلاهبرداری
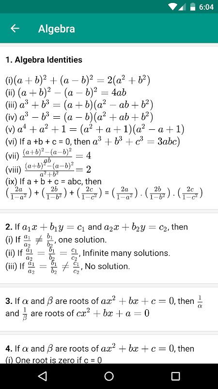
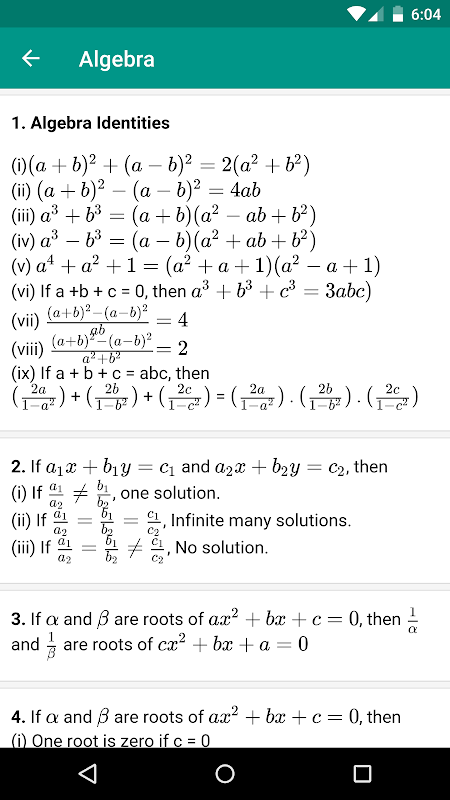
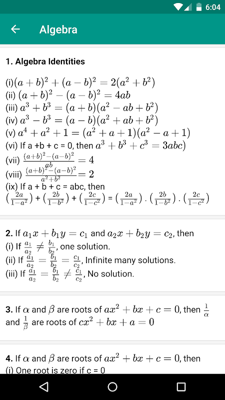
ضرب کلاهبرداری
کلاهبرداری مربع
کلاهبرداری -Remainder
کلاهبرداری درصدگیری
-Numbers کلاهبرداری
کلاهبرداری ریشه مربع
-Dividing 5
-Multiply 5
-Multiply 9
-Multiply توسط 4
این نسخه رایگان است و همیشه رایگان خواهد بود
جدیدترین 2.2 چه خبر است
Last updated on 2019-02-26
Improved layout
اطلاعات Math Tricks & Formulas APK
ایمن و سریع APK دانلود در APKPure
APKPure از تأیید امضای نرمافزار برای اطمینان از دانلودهای بدون ویروس APK Math Tricks & Formulas استفاده میکند.
نسخههای قدیمی Math Tricks & Formulas
Math Tricks & Formulas 2.2
8.7 MB26/02/2019
Math Tricks & Formulas 2.1
8.8 MB09/03/2017
Math Tricks & Formulas 2.0.1
8.8 MB25/01/2017
Math Tricks & Formulas 2.0
8.7 MB11/01/2017
دانلود فوق سریع و ایمن از طریق برنامه APKPure
برای نصب فایل های XAPK/APK در اندروید با یک کلیک!







