Tentang Math Tricks & Formulas
trik matematika Shortcut dan formula untuk Perkalian, Divisi, Square, Sisa
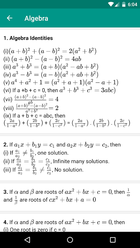
This App is designed for those who want to learn mathematical tricks to speed up the calculation.Tricks which are given in Math Tricks app will help to solve mathematical tasks much faster and easily.
This App Provides Multiple Tricks as given below:
-Addition Tricks
-Division Tricks
-Subtraction Tricks
-Multiplication Tricks
-Square Tricks
-Remainder Tricks
-Percentage Tricks
-Numbers Tricks
-Square Root Tricks
-Dividing by 5
-Multiply by 5
-Multiply by 9
-Multiply by 4
This version is free and always will be free
What's new in the latest 2.2
Last updated on 2019-02-26
Improved layout
Informasi APK Math Tricks & Formulas
Versi terbaru
2.2
Kategori
PendidikanAndroid OS
Android 4.0.3+
Ukuran file
8.7 MB
Pengembang
M4mathsRating konten
Everyone
Unduh APK dengan Aman dan Cepat di APKPure
APKPure menggunakan verifikasi tanda tangan untuk memastikan unduhan APK Math Tricks & Formulas yang bebas dari virus untuk Anda.
Versi lama Math Tricks & Formulas
Math Tricks & Formulas 2.2
8.7 MBFeb 26, 2019
Math Tricks & Formulas 2.1
8.8 MBMar 9, 2017
Math Tricks & Formulas 2.0.1
8.8 MBJan 25, 2017
Math Tricks & Formulas 2.0
8.7 MBJan 11, 2017
Pengunduhan Super cepat dan aman melalui aplikasi APKPure
Sekali klik untuk menginstal file XAPK/APK di Android!







