À propos de Math Tricks & Formulas
des astuces mathématiques de raccourci et la formule pour la multiplication, division, Carré, Remainder
Cette application est conçue pour ceux qui veulent apprendre des trucs mathématiques pour accélérer les calculation.Tricks qui sont donnés dans Math Tricks app contribuera à résoudre des tâches mathématiques beaucoup plus rapidement et facilement.
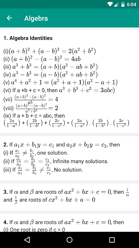
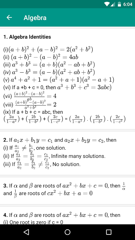
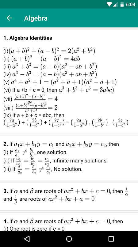
Cette application fournit astuces multiples comme indiqué ci-dessous:
-Ajout Tricks
-Division Tricks
-Subtraction Tricks
-Multiplication Tricks
Tricks -carré
Tricks -Remainder
Tricks -Pourcentage
-Numéros Tricks
Tricks Root -carré
Scindant par 5
Par 5 multipliez des
De 9 multipliez des
Par 4 multipliez des
Cette version est gratuite et sera toujours libre
What's new in the latest 2.2
Informations Math Tricks & Formulas APK
Vieilles versions de Math Tricks & Formulas
Math Tricks & Formulas 2.2
Math Tricks & Formulas 2.1
Math Tricks & Formulas 2.0.1
Math Tricks & Formulas 2.0
Téléchargement super rapide et sûr via l'application APKPure
Un clic pour installer les fichiers XAPK/APK sur Android!







