O Math Tricks & Formulas
Skróty sztuczki matematyczne i wzór na mnożenie, dzielenie, kwadrat, pozostający
Ta aplikacja jest przeznaczona dla tych, którzy chcą nauczyć się sztuczki matematyczne do przyspieszenia calculation.Tricks które są podane w Math Tricks aplikacji pomoże rozwiązać zadania matematyczne znacznie szybciej i łatwiej.
Ta aplikacja zapewnia wiele sztuczek, jak podano poniżej:
-Addition Tricks
-Division Tricks
-Subtraction Tricks
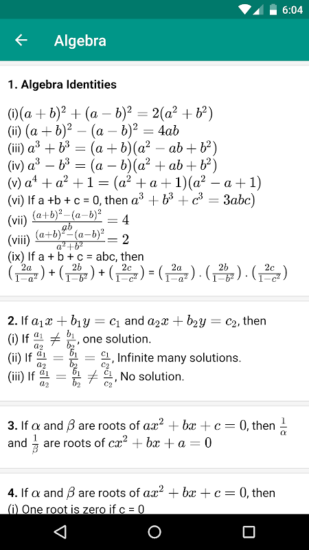
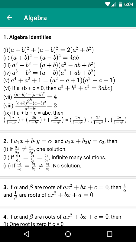
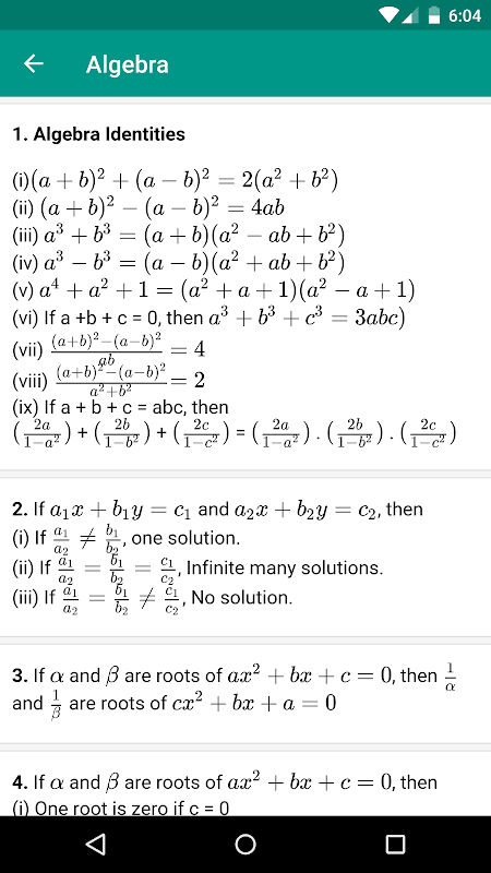
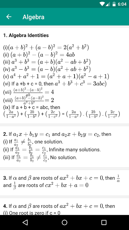
-Multiplication Tricks
-Square Tricks
-Remainder Tricks
-Percentage Tricks
-Numbers Tricks
-Square Tricks korzeniowe
-Dividing O 5
-Multiply Przez 5
-Multiply Przez 9
-Multiply Przez 4
Ta wersja jest wolna i zawsze będzie darmowe
What's new in the latest 2.2
Last updated on 2019-02-26
Improved layout
Informacje Math Tricks & Formulas APK
Bezpieczne i Szybkie Pobieranie APK na APKPure
APKPure używa weryfikacji podpisu, aby zapewnić bezpieczne pobieranie plików APK Math Tricks & Formulas bez wirusów dla Ciebie
Stare wersje Math Tricks & Formulas
Math Tricks & Formulas 2.2
8.7 MBFeb 26, 2019
Math Tricks & Formulas 2.1
8.8 MBMar 9, 2017
Math Tricks & Formulas 2.0.1
8.8 MBJan 25, 2017
Math Tricks & Formulas 2.0
8.7 MBJan 11, 2017
Superszybkie i bezpieczne pobieranie za pośrednictwem aplikacji APKPure
Jedno kliknięcie, aby zainstalować pliki XAPK/APK na Androidzie!







