Informazioni su Math Tricks & Formulas
trucchi matematici di scelta rapida e la formula per moltiplicazione, divisione, Quadrato, Resto
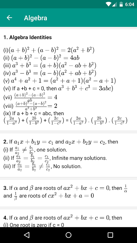
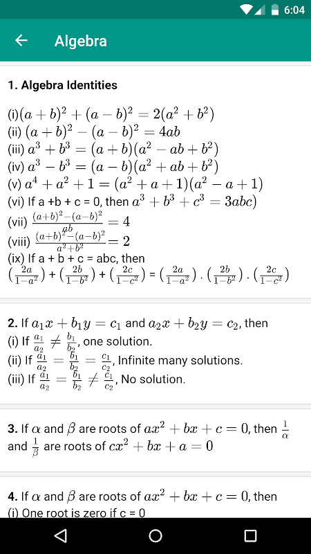
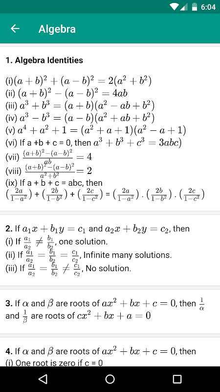
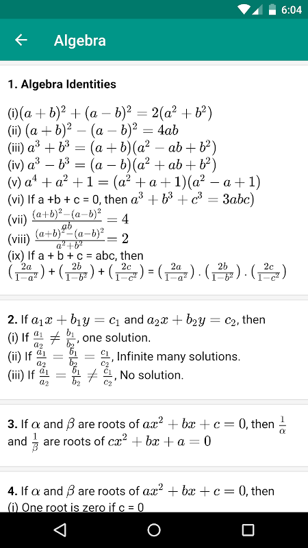
Questa applicazione è progettata per coloro che vogliono imparare i trucchi matematici per accelerare le calculation.Tricks che sono dati in matematica trucchi applicazione vi aiuterà a risolvere operazioni matematiche molto più velocemente e facilmente.
Questa applicazione fornisce trucchi multipli come indicato di seguito:
-aggiunta Tricks
-Divisione Tricks
-Subtraction Tricks
-Multiplication Tricks
Trucchi -Square
Trucchi -Remainder
Trucchi -Percentuale
-Numeri Tricks
Trucchi Root -Square
-Dividing Da 5
Di moltiplicare i da 5
Di moltiplicare i del 9
Di moltiplicare i del 4
Questa versione è gratuita e sarà sempre gratuita
What's new in the latest 2.2
Informazioni sull'APK Math Tricks & Formulas
Vecchie versioni di Math Tricks & Formulas
Math Tricks & Formulas 2.2
Math Tricks & Formulas 2.1
Math Tricks & Formulas 2.0.1
Math Tricks & Formulas 2.0
Download super veloce e sicuro tramite l'app APKPure
Basta un clic per installare i file XAPK/APK su Android!







