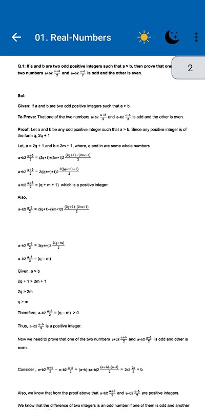
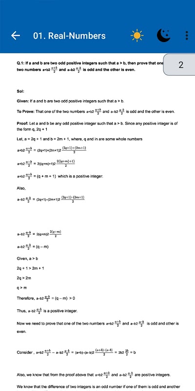
RD Sharma 10th Maths Solutions
68.3 MB
Dateigröße
Everyone
Android 7.0+
Android OS
Über RD Sharma 10th Maths Solutions
Die RD Sharma 10th Maths Solution-App – Ihr Schlüssel zum Beherrschen der Mathematik der 10. Klasse
Sind Sie bereit, die Welt der Mathematik souverän und präzise zu erobern? Wir stellen Ihnen die RD Sharma Class 10th Maths Solutions-App vor – Ihr ultimativer Begleiter bei der Beherrschung der Mathematikkunst. Ganz gleich, ob Sie sich als Student auf eine Prüfung vorbereiten oder einfach nur Ihre Mathematikkenntnisse verbessern möchten: Diese App bietet Ihnen umfassende Lösungen, die das Lernen ansprechend, effizient und effektiv machen.
🌟 Hauptmerkmale 🌟
📚 Vollständige Lösungen: Tauchen Sie ein in eine umfangreiche Sammlung Schritt-für-Schritt-Lösungen für alle Fragen aus dem Mathematiklehrbuch der 10. Klasse von RD Sharma. Unser Team aus erfahrenen Pädagogen hat diese Lösungen sorgfältig ausgearbeitet, um Klarheit und Genauigkeit zu gewährleisten und komplexe Konzepte für jeden Lernenden verständlich zu machen.
🔍 Kapitelweise Organisation: Navigieren Sie einfach durch Kapitel und Themen, sodass Sie sich auf bestimmte Bereiche konzentrieren können, die Aufmerksamkeit erfordern. Von reellen Zahlen und Polynomen bis hin zu Trigonometrie und Statistik deckt die App jedes Kapitel umfassend ab und bietet Ihnen ein ganzheitliches Lernerlebnis.
🔄 Übung macht den Meister: Vertiefen Sie Ihr Verständnis mit vielfältigen Übungsfragen am Ende jedes Kapitels. Die App bietet sorgfältig ausgewählte Übungen, die Ihnen helfen, das Gelernte anzuwenden und Ihre Fähigkeiten zur Problemlösung auszubauen.
📱 Offline-Zugriff: Greifen Sie auch ohne Internetverbindung auf die Lösungen und Ressourcen zu. Lernen Sie jederzeit und überall, ohne sich Gedanken über Verbindungsprobleme machen zu müssen.
🎓 Vorbereitung auf die Board-Prüfung: Bereiten Sie sich gut auf Ihre Board-Prüfungen vor, indem Sie mit den Fragebögen und Musterbögen der Vorjahre üben. Der prüfungsorientierte Ansatz der App hilft Ihnen, sich mit dem Papiermuster vertraut zu machen und stärkt Ihr Selbstvertrauen.
📣 Warum sollten Sie sich für Mathematiklösungen der 10. Klasse von RD Sharma entscheiden? 📣
Die RD Sharma Class 10th Maths Solutions-App ist nicht nur eine weitere Mathe-App; Es ist Ihr Schlüssel zur Erschließung einer Welt voller mathematischer Kenntnisse. Mit ihrer benutzerfreundlichen Oberfläche, fachmännisch erstellten Lösungen und einer Fülle an Ressourcen sorgt diese App dafür, dass das Lernen von Mathematik zu einer unterhaltsamen Reise wird und nicht zu einer entmutigenden Aufgabe.
Egal, ob Sie erstklassige Noten anstreben oder ein tieferes Verständnis mathematischer Konzepte anstreben, diese App ist auf Ihre Bedürfnisse zugeschnitten. Es ist an der Zeit, Ihr Mathematik-Lernerlebnis zu verändern. Laden Sie jetzt die RD Sharma Class 10th Maths Solutions-App herunter und begeben Sie sich auf den Weg zur mathematischen Exzellenz.
Der Index der App lautet wie folgt:
01. Reale Zahlen
02. Polynome
03. Paare linearer Gleichungen in zwei Variablen
04. Dreiecke
05. Trigonometrische Verhältnisse
06. Trigonometrische Identitäten
07. Statistik
08. Quadratische Gleichungen
09. Arithmetische Progressionen
10. Kreise
11. Konstruktionen
12. Einige Anwendungen der Trigonometrie
13. Wahrscheinlichkeit
14. Koordinatengeometrie
15. Bereiche im Zusammenhang mit Kreisen
16. Oberflächen und Volumina
🚀 Nutzen Sie die Kraft der Mathematik! 🚀
[Haftungsausschluss: Diese App ist nicht mit RD Sharma oder einer Bildungseinrichtung verbunden oder wird von diesen unterstützt. Die bereitgestellten Lösungen werden von erfahrenen Pädagogen erstellt, um Schüler auf ihrem Weg zum Mathematiklernen zu unterstützen.]
What's new in the latest 1.0
Bugs Fixed
RD Sharma 10th Maths Solutions APK -Informationen
Alte Versionen von RD Sharma 10th Maths Solutions
RD Sharma 10th Maths Solutions 1.0
Superschnelles und sicheres Herunterladen über die APKPure-App
Ein Klick zur Installation von XAPK/APK-Dateien auf Android!







