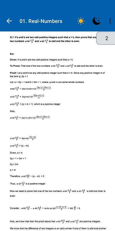
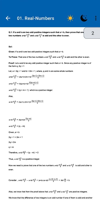
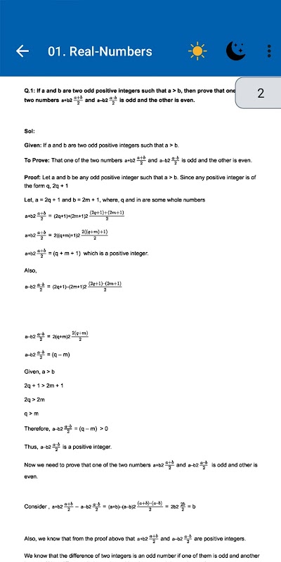
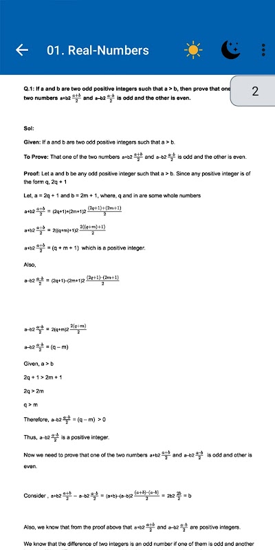
RD Sharma 10th Maths Solutions 정보
RD Sharma 10th Maths Solution 앱 - 10학년 수학을 정복하는 열쇠
자신감과 정확성으로 수학의 세계를 정복할 준비가 되셨나요? RD Sharma Class 10th Maths Solutions 앱을 소개합니다. 수학 기술을 마스터하는 데 있어 최고의 동반자입니다. 보드 시험을 준비하는 학생이든 단순히 수학 능력을 강화하려는 학생이든 관계없이 이 앱은 학습을 흥미롭고 효율적이며 효과적으로 만드는 포괄적인 솔루션을 제공하도록 설계되었습니다.
🌟 주요 기능 🌟
📚 완전한 솔루션: RD Sharma Class 10th Maths 교과서의 모든 질문에 대한 광범위한 단계별 솔루션 컬렉션을 살펴보세요. 숙련된 교육자로 구성된 우리 팀은 모든 학습자가 복잡한 개념을 이해할 수 있도록 명확성과 정확성을 보장하기 위해 이러한 솔루션을 세심하게 제작했습니다.
🔍 장별 구성: 장과 주제를 쉽게 탐색하여 주의가 필요한 특정 영역에 집중할 수 있습니다. 실수와 다항식부터 삼각법과 통계에 이르기까지 이 앱은 모든 장을 광범위하게 다루며 전체적인 학습 경험을 제공합니다.
🔄 연습하면 완벽해집니다: 각 장 끝에 있는 다양한 연습 문제를 통해 이해를 강화하세요. 이 앱은 배운 내용을 적용하고 문제 해결 능력을 키우는 데 도움이 되도록 엄선된 연습 문제를 제공합니다.
📱 오프라인 액세스: 인터넷 연결 없이도 솔루션과 리소스에 액세스할 수 있습니다. 연결 문제 걱정 없이 언제 어디서나 공부하세요.
🎓 이사회 시험 준비: 전년도 문제지와 샘플 시험지를 활용하여 연습하여 이사회 시험을 잘 준비하세요. 앱의 시험 중심 접근 방식은 종이 패턴에 익숙해지고 자신감을 높이는 데 도움이 됩니다.
📣 RD Sharma Class 10기 수학 솔루션을 선택하는 이유는 무엇입니까? 📣
RD Sharma Class 10th Maths Solutions 앱은 단순한 수학 앱이 아닙니다. 그것은 수학적 능력의 세계를 여는 열쇠입니다. 사용자 친화적인 인터페이스, 전문적으로 제작된 솔루션 및 풍부한 리소스를 갖춘 이 앱은 수학 학습이 어려운 작업이 아닌 즐거운 여정이 되도록 보장합니다.
최고 수준의 성적을 위해 노력하든, 수학적 개념에 대한 더 깊은 이해를 추구하든, 이 앱은 귀하의 요구를 충족시켜 드립니다. 이제 수학 학습 경험을 바꿔야 할 때입니다. 지금 RD Sharma Class 10th Maths Solutions 앱을 다운로드하고 수학 우수성을 향한 길을 시작하세요.
앱의 인덱스는 다음과 같습니다.
01. 실수
02. 다항식
03. 두 변수의 일차방정식 쌍
04. 삼각형
05. 삼각비
06. 삼각함수 항등식
07. 통계
08. 이차방정식
09. 산술 진행
10. 서클
11. 건축
12. 삼각법의 일부 응용
13. 확률
14. 좌표 기하학
15. 서클 관련 분야
16. 표면적과 부피
🚀 수학의 힘을 받아들이세요! 🚀
[면책 조항: 이 앱은 RD Sharma 또는 교육 기관과 제휴하거나 보증하지 않습니다. 제공되는 솔루션은 학생들의 수학 학습 여정을 돕기 위해 경험이 풍부한 교육자들에 의해 만들어졌습니다.]
What's new in the latest 1.0
Bugs Fixed







