このRD Sharma 10th Maths Solutionsについて
RD Sharma 10 年生の数学ソリューション アプリ - 10 年生の数学を克服するための鍵
自信を持って正確に数学の世界を征服する準備はできていますか? RD Sharma Class 10th Maths Solutions アプリのご紹介 – 数学の芸術を習得するための究極の相棒です。ボード試験の準備をしている学生であっても、単に数学スキルの強化を目指している学生であっても、このアプリは学習を魅力的で効率的かつ効果的なものにする包括的なソリューションを提供するように設計されています。
🌟主な機能🌟
📚 完全な解決策: RD Sharma Class 10th Maths 教科書のすべての問題に対するステップバイステップの解決策の膨大なコレクションに飛び込みます。私たちの経験豊富な教育者チームは、明確さと正確さを確保するためにこれらのソリューションを細心の注意を払って作成し、複雑な概念をすべての学習者が理解できるようにしました。
🔍 章ごとの構成: 章やトピックを簡単に移動できるため、注意が必要な特定の領域に焦点を当てることができます。実数や多項式から三角法や統計まで、このアプリは各章を広範囲にカバーしており、総合的な学習体験を提供します。
🔄 練習すれば完璧: 各章の最後にあるさまざまな練習問題で理解を強化します。このアプリは、学んだことを応用し、問題解決スキルを構築するのに役立つ厳選された演習を提供します。
📱 オフライン アクセス: インターネットに接続していなくても、ソリューションやリソースにアクセスできます。接続の問題を心配することなく、いつでもどこでも勉強できます。
🎓 役員試験の準備: 過去の問題用紙やサンプル用紙を使って練習して、役員試験に向けて十分な準備をしましょう。このアプリの試験指向のアプローチは、型に慣れるのに役立ち、自信を高めます。
📣 RD Sharma クラス 10 番目の数学ソリューションを選ぶ理由? 📣
RD Sharma Class 10th Maths Solutions アプリは、単なる数学アプリではありません。それは数学的熟練度の世界を開く鍵です。ユーザーフレンドリーなインターフェイス、巧妙に作成されたソリューション、豊富なリソースを備えたこのアプリは、数学の学習を困難な作業ではなく、楽しい旅にすることを保証します。
一流の成績を目指している場合でも、数学の概念をより深く理解したい場合でも、このアプリはあなたのニーズに応えます。あなたの数学学習体験を変える時が来ました。今すぐ RD Sharma クラス 10th Maths Solutions アプリをダウンロードして、数学の卓越性への道を歩み始めましょう。
アプリのインデックスは以下の通りです。
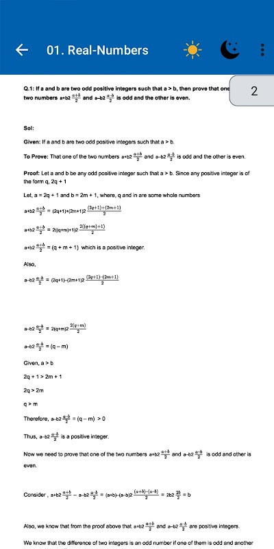
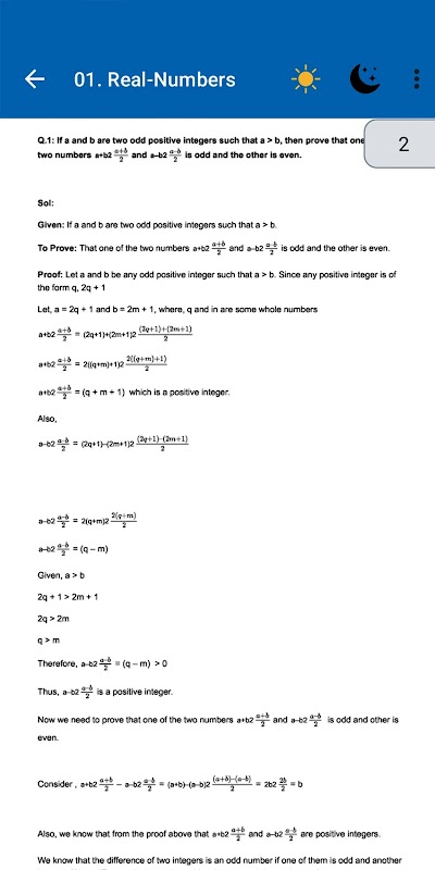
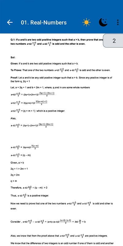
01. 実数
02. 多項式
03. 2 変数の一次方程式のペア
04. トライアングル
05. 三角比
06. 三角関数の恒等式
07. 統計
08. 二次方程式
09. 等差数列
10. サークル
11. 構造物
12. 三角法の応用例
13. 確率
14. 座標幾何学
15. サークル関連エリア
16. 表面積と体積
🚀 数学の力を活用しましょう! 🚀
[免責事項: このアプリは、RD Sharma またはいかなる教育機関とも提携または承認されていません。提供されるソリューションは、生徒の数学学習を支援するために経験豊富な教育者によって作成されています。]
最新バージョン 1.0 の更新情報
Bugs Fixed







