RD Sharma 10th Maths Solutions
68.3 MB
Bestandsgrootte
Everyone
Android 7.0+
Android OS
Over RD Sharma 10th Maths Solutions
RD Sharma 10th Maths Solution-app - uw sleutel tot het overwinnen van wiskunde in het 10e leerjaar
Ben je klaar om de wereld van de wiskunde met vertrouwen en precisie te veroveren? Introductie van de RD Sharma Class 10th Maths Solutions-app - uw ultieme metgezel bij het beheersen van de kunst van de wiskunde. Of je nu een student bent die zich voorbereidt op examens of gewoon je wiskundige vaardigheden wil verbeteren, deze app is ontworpen om je uitgebreide oplossingen te bieden die het leren boeiend, efficiënt en effectief maken.
🌟 Belangrijkste kenmerken 🌟
📚 Complete oplossingen: duik in een uitgebreide verzameling stapsgewijze oplossingen voor alle vragen uit het RD Sharma Class 10e wiskundeboek. Ons team van ervaren docenten heeft deze oplossingen zorgvuldig ontwikkeld om duidelijkheid en nauwkeurigheid te garanderen, waardoor complexe concepten voor elke leerling begrijpelijk worden.
🔍 Hoofdstukgewijze organisatie: navigeer eenvoudig door hoofdstukken en onderwerpen, zodat u zich kunt concentreren op specifieke gebieden die aandacht vereisen. Van reële getallen en polynomen tot trigonometrie en statistiek, de app behandelt elk hoofdstuk uitgebreid en biedt u een holistische leerervaring.
🔄 Oefening baart kunst: versterk uw begrip met een breed scala aan oefenvragen aan het einde van elk hoofdstuk. De app biedt zorgvuldig geselecteerde oefeningen waarmee u het geleerde kunt toepassen en uw probleemoplossende vaardigheden kunt vergroten.
📱 Offline toegang: krijg toegang tot de oplossingen en bronnen, zelfs zonder internetverbinding. Studeer altijd en overal, zonder dat u zich zorgen hoeft te maken over verbindingsproblemen.
🎓 Voorbereiding op het bestuursexamen: bereid u goed voor op uw bestuursexamens door te oefenen met de vragenformulieren en voorbeeldpapieren van voorgaande jaren. De examengerichte aanpak van de app helpt je vertrouwd te raken met het papieren patroon en vergroot je zelfvertrouwen.
📣 Waarom kiezen voor RD Sharma Class 10e wiskundeoplossingen? 📣
De RD Sharma Class 10th Maths Solutions-app is niet zomaar een wiskunde-app; het is jouw sleutel tot het ontsluiten van een wereld van wiskundige vaardigheid. Met zijn gebruiksvriendelijke interface, vakkundig vervaardigde oplossingen en een overvloed aan hulpmiddelen zorgt deze app ervoor dat het leren van wiskunde een plezierige reis wordt in plaats van een lastige taak.
Of je nu naar topcijfers streeft of op zoek bent naar een beter begrip van wiskundige concepten, deze app komt tegemoet aan je behoeften. Het is tijd om uw wiskundeleerervaring te transformeren. Download nu de RD Sharma Class 10th Maths Solutions-app en begin aan een pad naar wiskundige uitmuntendheid.
Index van de app is als volgt:
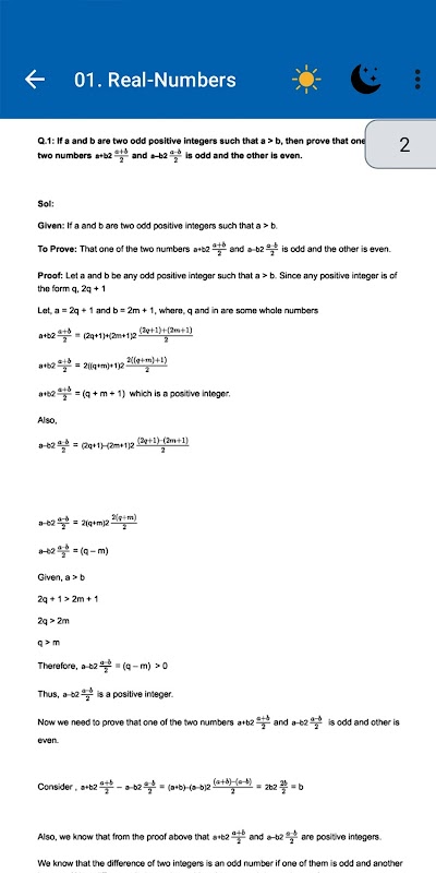
01. Echte cijfers
02. Veeltermen
03. Paren lineaire vergelijkingen in twee variabelen
04. Driehoeken
05. Trigonometrische verhoudingen
06. Trigonometrische identiteiten
07. Statistieken
08. Kwadratische vergelijkingen
09. Rekenkundige progressies
10. Cirkels
11. Constructies
12. Enkele toepassingen van trigonometrie
13. Waarschijnlijkheid
14. Coördinaatgeometrie
15. Gebieden die verband houden met cirkels
16. Oppervlaktes en volumes
🚀 Omarm de kracht van wiskunde! 🚀
[Disclaimer: deze app is niet gelieerd aan of goedgekeurd door RD Sharma of enige onderwijsinstelling. De geboden oplossingen zijn gemaakt door ervaren docenten om leerlingen te helpen bij hun wiskunde-leertraject.]
What's new in the latest 1.0
Bugs Fixed
RD Sharma 10th Maths Solutions APK -informatie
Oude versies van RD Sharma 10th Maths Solutions
RD Sharma 10th Maths Solutions 1.0
Supersnel en veilig downloaden via de APKPure-app
Eén klik om XAPK/APK-bestanden op Android te installeren!







