RD Sharma 10th Maths Solutions
68.3 MB
Taille de fichier
Everyone
Android 7.0+
Android OS
À propos de RD Sharma 10th Maths Solutions
Application RD Sharma 10th Maths Solution - votre clé pour conquérir les mathématiques de 10e année
Êtes-vous prêt à conquérir le monde des mathématiques avec confiance et précision ? Présentation de l'application RD Sharma Class 10th Maths Solutions - votre compagnon ultime pour maîtriser l'art des mathématiques. Que vous soyez un étudiant se préparant aux examens du conseil ou que vous cherchiez simplement à renforcer vos compétences en mathématiques, cette application est conçue pour vous fournir des solutions complètes qui rendent l'apprentissage engageant, efficace et efficient.
🌟 Principales fonctionnalités 🌟
📚 Solutions complètes : plongez dans une vaste collection de solutions étape par étape à toutes les questions du manuel de mathématiques RD Sharma Class 10th. Notre équipe d'éducateurs expérimentés a méticuleusement conçu ces solutions pour garantir clarté et précision, rendant les concepts complexes compréhensibles pour chaque apprenant.
🔍 Organisation par chapitre : parcourez facilement les chapitres et les sujets, vous permettant de vous concentrer sur des domaines spécifiques qui nécessitent une attention particulière. Des nombres réels et polynômes à la trigonométrie et aux statistiques, l'application couvre chaque chapitre en détail, vous offrant une expérience d'apprentissage holistique.
🔄 La pratique rend parfait : renforcez votre compréhension avec un large éventail de questions pratiques à la fin de chaque chapitre. L'application propose des exercices soigneusement sélectionnés qui vous aident à appliquer ce que vous avez appris et à développer vos compétences en résolution de problèmes.
📱 Accès hors ligne : accédez aux solutions et ressources même sans connexion Internet. Étudiez à tout moment et en tout lieu, sans vous soucier des problèmes de connectivité.
🎓 Préparation aux examens du conseil : préparez-vous bien pour vos examens du conseil en vous entraînant avec les questions et les exemples de questions des années précédentes. L'approche orientée examen de l'application vous aide à vous familiariser avec le modèle papier et renforce votre confiance.
📣 Pourquoi choisir les solutions mathématiques de RD Sharma Class 10th ? 📣
L'application RD Sharma Class 10th Maths Solutions n'est pas simplement une autre application mathématique ; c'est votre clé pour ouvrir un monde de compétences mathématiques. Avec son interface conviviale, ses solutions conçues par des experts et sa pléthore de ressources, cette application garantit que l'apprentissage des mathématiques devient un voyage agréable plutôt qu'une tâche ardue.
Que vous recherchiez d'excellentes notes ou que vous recherchiez une compréhension plus approfondie des concepts mathématiques, cette application répond à vos besoins. Il est temps de transformer votre expérience d'apprentissage des mathématiques. Téléchargez dès maintenant l'application RD Sharma Class 10th Maths Solutions et lancez-vous sur la voie de l'excellence mathématique.
L'index de l'application est le suivant :
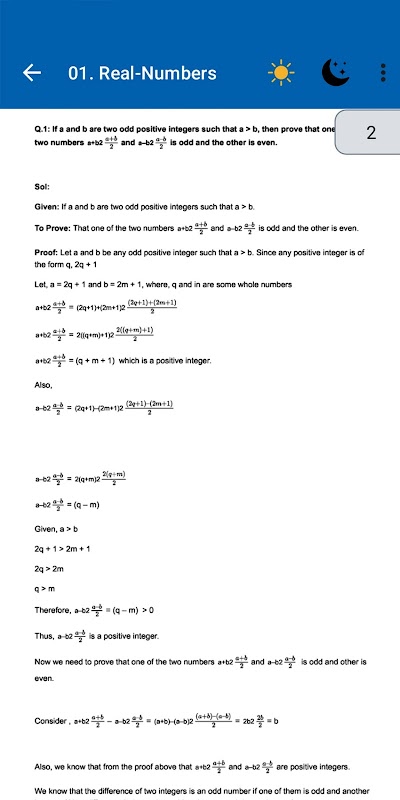
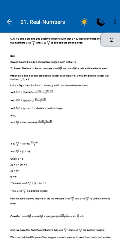
01. Nombres réels
02. Polynômes
03. Paires d'équations linéaires à deux variables
04. Triangles
05. Rapports trigonométriques
06. Identités trigonométriques
07. Statistiques
08. Équations quadratiques
09. Progressions arithmétiques
10. Cercles
11. Constructions
12. Quelques applications de la trigonométrie
13. Probabilité
14. Coordonner la géométrie
15. Domaines liés aux cercles
16. Superficies et volumes
🚀 Embrassez le pouvoir des mathématiques ! 🚀
[Avertissement : cette application n'est ni affiliée ni approuvée par RD Sharma ou tout établissement d'enseignement. Les solutions proposées sont créées par des éducateurs expérimentés pour aider les élèves dans leur parcours d'apprentissage des mathématiques.]
What's new in the latest 1.0
Bugs Fixed
Informations RD Sharma 10th Maths Solutions APK
Vieilles versions de RD Sharma 10th Maths Solutions
RD Sharma 10th Maths Solutions 1.0
Téléchargement super rapide et sûr via l'application APKPure
Un clic pour installer les fichiers XAPK/APK sur Android!







