About RD Sharma 10th Maths Solutions
RD Sharma 10th Maths Solution app- your key to conquering 10th grade mathematics
Are you ready to conquer the world of mathematics with confidence and precision? Introducing the RD Sharma Class 10th Maths Solutions app – your ultimate companion in mastering the art of mathematics. Whether you're a student preparing for board exams or simply aiming to strengthen your math skills, this app is designed to provide you with comprehensive solutions that make learning engaging, efficient, and effective.
🌟 Key Features 🌟
📚 Complete Solutions: Dive into a vast collection of step-by-step solutions to all the questions from the RD Sharma Class 10th Maths textbook. Our team of experienced educators has meticulously crafted these solutions to ensure clarity and accuracy, making complex concepts understandable for every learner.
🔍 Chapter-wise Organization: Easily navigate through chapters and topics, allowing you to focus on specific areas that require attention. From Real Numbers and Polynomials to Trigonometry and Statistics, the app covers every chapter extensively, providing you with a holistic learning experience.
🔄 Practice Makes Perfect: Reinforce your understanding with a diverse range of practice questions at the end of each chapter. The app provides carefully selected exercises that help you apply what you've learned and build your problem-solving skills.
📱 Offline Access: Access the solutions and resources even without an internet connection. Study anytime, anywhere, without worrying about connectivity issues.
🎓 Board Exam Prep: Get well-prepared for your board exams by practicing with previous years' question papers and sample papers. The app's exam-oriented approach helps you become familiar with the paper pattern and boosts your confidence.
📣 Why Choose RD Sharma Class 10th Maths Solutions? 📣
The RD Sharma Class 10th Maths Solutions app is not just another math app; it's your key to unlocking a world of mathematical proficiency. With its user-friendly interface, expertly crafted solutions, and a plethora of resources, this app ensures that learning math becomes an enjoyable journey rather than a daunting task.
Whether you're striving for top-notch grades or seeking a deeper understanding of mathematical concepts, this app caters to your needs. It's time to transform your math-learning experience. Download the RD Sharma Class 10th Maths Solutions app now and embark on a path to mathematical excellence.
Index of the app is as follows:
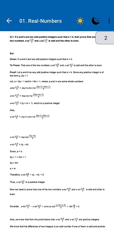
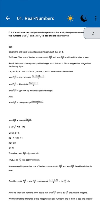
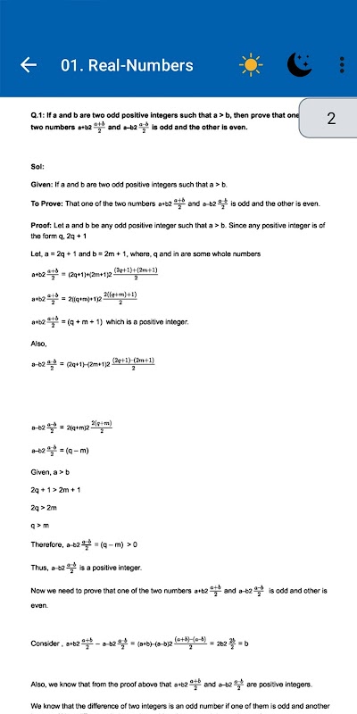
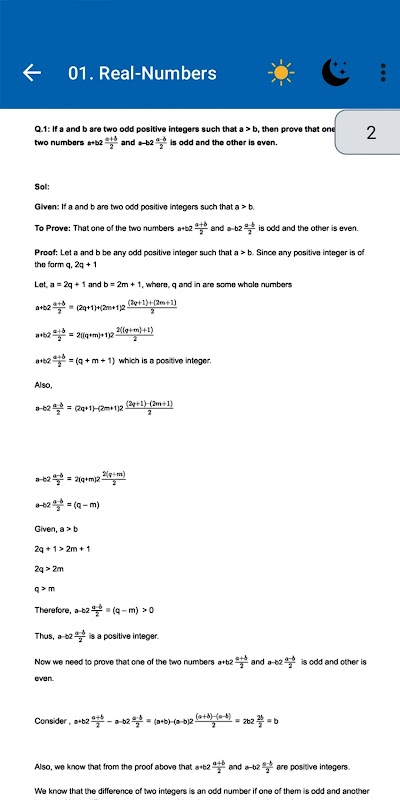
01. Real-Numbers
02. Polynomials
03. Pairs of Linear Equations in Two Variables
04. Triangles
05. Trigonometric Ratios
06. Trigonometric Identities
07. Statistics
08. Quadratic Equations
09. Arithmetic Progressions
10. Circles
11. Constructions
12. Some Applications of Trigonometry
13. Probability
14. Co-ordinate Geometry
15. Areas Related to Circles
16. Surface Areas and Volumes
🚀 Embrace the Power of Mathematics! 🚀
[Disclaimer: This app is not affiliated with or endorsed by RD Sharma or any educational institution. The solutions provided are created by experienced educators to assist students in their math learning journey.]
What's new in the latest 1.0
Bugs Fixed
RD Sharma 10th Maths Solutions APK Information
Old Versions of RD Sharma 10th Maths Solutions
RD Sharma 10th Maths Solutions 1.0
Super Fast and Safe Downloading via APKPure App
One-click to install XAPK/APK files on Android!







