Informazioni su Tachometer
Tachmeter
Tachimetro libero
Professionale digitale GPS Contagiri
Per l'uso in auto, aereo, treno, nave, barca, moto, ciclismo, corsa e passeggiate
Lavorare in nessuna parte che ci sia copertura satelliti - molto preciso!
Misurazione e la registrazione di velocità, posizione esatta, data e ora.
Buon per i viaggiatori che vogliono documentare le posizioni esatte (track) dove hanno soggiornato.
Schermata principale:
1 La velocità da km / h o mph -. Radio ontouch selezione.
2. Visualizzazione distanza per chilometri o miglia.
3. Timer.
4. Orologio.
Funzioni principali:
1. Start / Stop.
2. Ottenga la posizione ogni secondo.
3. Vai alla mappa.
4. Vedere record posizioni memorizzate.
5. Impostazione delle preferenze.
Allarme 6. Impostazione della velocità.
7. Salvare il file csv (formato excel).
8 file. Sharing traccia gps.
9. Eliminare i file traccia GPS.
Descrizione:
Vai alla mappa: Dopo aver cliccato su "Get Location", vedrete il vostro posto sulla mappa geo che il supporto per le periferiche - come la mappa di Google o Waze carta, o altro.
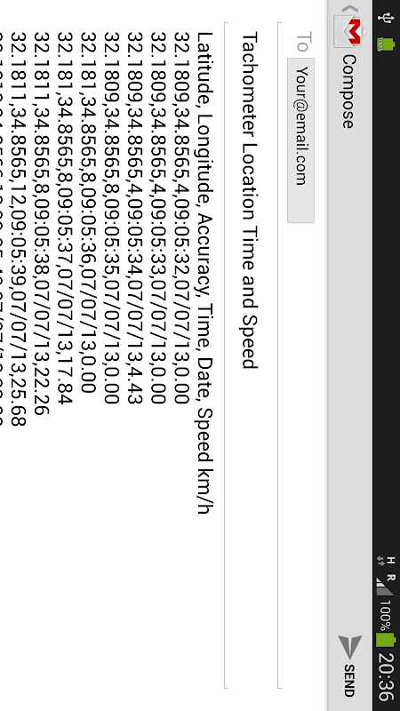
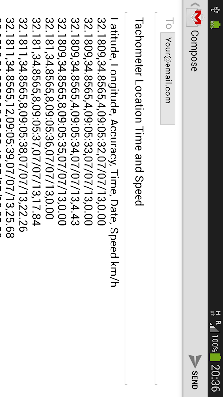
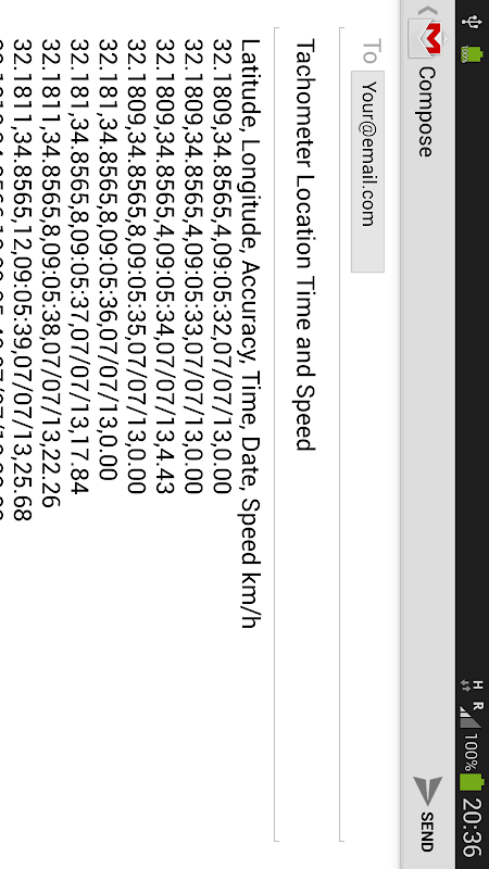
Vedi posizione memorizzata: Una tabella dettagliata con i seguenti dati -
Latitudine, Longitudine, Accuratezza, ora, data, velocità km / h.
Ogni riga della tabella rappresenta uno dei dati secondo accumulati.
Cliccando sulla riga selezionata si otterrà il posto sulla mappa per la seconda specifica.
Preferenza Impostazione
. 1 warning Velocità - Velocità chilometro per avviso ora - impostazione Auto della velocità avviso km / h.
. 2 warning Speed - Velocità miglia per ora alert - l'impostazione Auto della velocità avviso mph.
3. Posta elettronica per l'invio di dati e file excel (csv).
4. Posizione Store di GPS / Network.
5. Cielo sereno / cancellare tutti i dati.
6. Tornare alla schermata principale.
È possibile esportare file di dati (csv) di qualsiasi e-mail che si desidera.
Tutti i file salvati sul dispositivo locale. è possibile gestire ed eliminare qualsiasi momento.
Questo Contagiri per uso personale - registrazione di dati su un solo dispositivo.
Se ne avete bisogno per uso commerciale con il salvataggio dei dati online sul tuo server aziendale - non esitate a contattarci.
Creato da Androcalc
Ulteriori applicazioni Android gratis www.androcalc.com
What's new in the latest 1.01
Informazioni sull'APK Tachometer
Vecchie versioni di Tachometer
Tachometer 1.01
Download super veloce e sicuro tramite l'app APKPure
Basta un clic per installare i file XAPK/APK su Android!




