Giới thiệu về Tachometer
Tachmeter
Máy đo tốc độ miễn phí
Kỹ thuật số chuyên nghiệp GPS đo tốc độ
Để sử dụng tại xe hơi, máy bay, xe lửa, tàu, thuyền, xe gắn máy, xe đạp, chạy và đi bộ
Làm việc tại bất cứ nơi nào có phủ sóng vệ tinh - rất chính xác!
Đo và ghi lại tốc độ, vị trí chính xác, thời gian và ngày.
Tốt cho du khách muốn ghi lại địa điểm chính xác (theo dõi), nơi họ ở lại.
Màn hình chính:
1 tốc độ của bạn bằng km / h hoặc mph -. Đài phát thanh ontouch chọn.
2. Hiển thị khoảng cách bằng km hoặc dặm.
Timer. 3.
Đồng hồ. 4.
Chức năng chính:
1. Start / Stop.
2. Nhận vị trí mỗi giây.
3. Tới bản đồ.
4. Xem hồ sơ địa điểm lưu trữ.
5. Thiết lập sở thích.
6. Tốc độ Thiết lập cảnh báo.
7. Tiết kiệm csv (excel định dạng).
8. Chia sẻ gps theo dõi tập tin.
9. Xóa file gps theo dõi.
Mô tả:
Đến bản đồ: Sau khi nhấp vào "Get Location", bạn sẽ thấy vị trí của bạn trên bản đồ địa lý có hỗ trợ thiết bị của bạn - như Google bản đồ hoặc bản đồ Waze, hoặc khác.
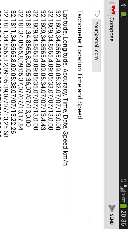
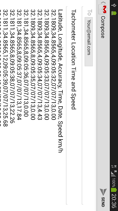
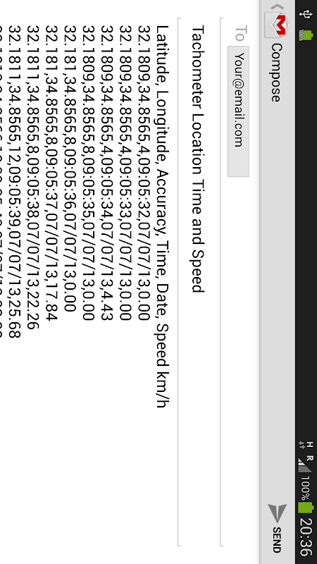
Xem vị trí lưu trữ: Một bảng chi tiết với các dữ liệu sau -
Vĩ độ, kinh độ, độ chính xác, thời gian, ngày, tốc độ km / h.
Mỗi hàng trong bảng đại diện cho một dữ liệu thứ hai được tích lũy.
Bằng cách nhấp vào hàng lựa chọn, bạn sẽ có được vị trí trên bản đồ cho phần thứ hai cụ thể.
Thiết lập thích
. 1 Tốc độ cảnh báo - Tốc độ km một giờ cảnh báo - Tự thiết lập tốc độ cảnh báo km / h.
. 2 Tốc độ cảnh báo - Tốc độ dặm một giờ cảnh báo - Tự thiết lập tốc độ cảnh báo mph.
3. Gửi email cho việc gửi dữ liệu và file excel (csv).
4. Lưu vị trí bằng GPS / mạng.
5. Clear / xóa tất cả các dữ liệu.
6. Quay trở lại màn hình chính.
Bạn có thể xuất file dữ liệu (csv) cho bất kỳ email mà bạn muốn.
Tất cả các file được lưu trên thiết bị địa phương của bạn. bạn có thể quản lý và xóa bất cứ lúc nào.
Máy đo tốc độ này để sử dụng cá nhân - ghi dữ liệu trên thiết bị của bạn.
Nếu bạn cần nó để sử dụng thương mại với lưu dữ liệu trực tuyến trên máy chủ của công ty của bạn - xin vui lòng liên hệ với chúng tôi.
Được tạo ra bởi Androcalc
Các ứng dụng Android miễn phí trên hơn www.androcalc.com
What's new in the latest 1.01
Thông tin APK Tachometer
Phiên bản cũ của Tachometer
Tachometer 1.01
Tải xuống siêu nhanh và an toàn thông qua Ứng dụng APKPure
Một cú nhấp chuột để cài đặt các tệp XAPK/APK trên Android!




