دربارهی Tachometer
Tachmeter
سرعت سنج رایگان
حرفه ای دیجیتال GPS سرعت سنج
برای استفاده در ماشین، هواپیما، قطار، کشتی، قایق، موتور سیکلت، دوچرخه سواری، دویدن و راه رفتن
مشغول به کار در هر نقطه که تحت پوشش ماهواره ها وجود دارد - بسیار دقیق!
اندازه گیری و ثبت سرعت، محل دقیق آن، زمان و تاریخ.
خوب برای مسافران که می خواهند به سند محل دقیق آن (مسیر) که در آن می ماند.
صفحه نمایش اصلی:
1 سرعت شما توسط کیلومتر / ساعت و یا مایل در ساعت - رادیو ontouch انتخاب.
2. نمایش فاصله را با کیلومتر یا مایل.
3. تایمر.
4 ساعت.
توابع اصلی:
1. شروع / توقف.
2. دریافت محل در هر ثانیه.
3. برو به نقشه.
4. مکان های ذخیره شده مشاهده پرونده.
5 تنظیم ترجیحات.
6. هشدار سرعت تنظیم می باشد.
7. صرفه جویی در فایل CSV (فرمت اکسل).
به اشتراک گذاری فایل آهنگ جیپیاس 8.
9. حذف فایل های آهنگ جیپیاس.
توضیحات:
برو به نقشه: پس از کلیک کردن بر روی "دریافت محل سکونت"، شما محل خود را بر روی نقشه های جغرافیایی را مشاهده کنید که پشتیبانی از دستگاه خود را - مانند نقشه گوگل یا نقشه وزی، و یا دیگر.
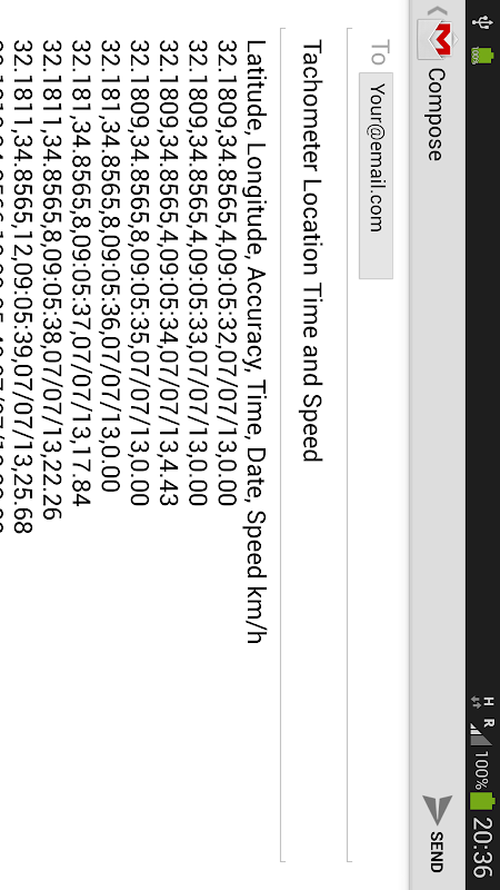
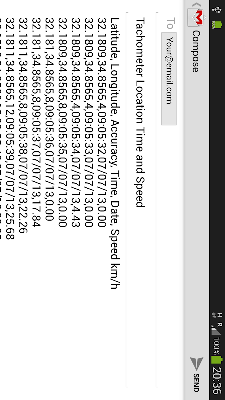
مشاهده مکان ذخیره می شود: یک جدول دقیق با داده های زیر را -
طول و عرض جغرافیایی، طول جغرافیایی، دقت، زمان، تاریخ، سرعت کیلومتر / ساعت.
هر سطر در جدول نشان داده دوم انباشته شده است.
با کلیک کردن روی سطر انتخاب شده شما محل بر روی نقشه برای دومین خاص دریافت کنید.
تنظیم اولویت
1 سرعت هشدار دهنده - کیلومتر سرعت در ساعت هشدار - تنظیمات خود از سرعت هشدار کیلومتر / ساعت.
2 سرعت هشدار دهنده - مایل سرعت در ساعت هشدار - تنظیمات خود از سرعت مایل در ساعت هشدار.
3. ایمیل برای ارسال داده ها و فایل اکسل (CSV).
4. محل فروشگاه های GPS / شبکه.
5. پاک کردن / حذف تمام داده ها.
6. بازگشت به صفحه اصلی برو.
شما می توانید فایل داده (CSV) به هر ایمیل است که شما می خواهید صادرات.
تمام فایل های ذخیره شده بر روی دستگاه محلی خود را. شما می توانید مدیریت و پاک در هر زمان.
این سرعت سنج برای استفاده شخصی - ضبط داده ها فقط در دستگاه شما.
اگر شما به آن نیاز دارید را برای استفاده های تجاری با صرفه جویی در داده های آنلاین در سرور شرکت خود را - با ما تماس بگیرید.
ایجاد شده توسط Androcalc
اندیشه نرم افزار بیشتر رایگان در www.androcalc.com
جدیدترین 1.01 چه خبر است
اطلاعات Tachometer APK
نسخههای قدیمی Tachometer
Tachometer 1.01
دانلود فوق سریع و ایمن از طریق برنامه APKPure
برای نصب فایل های XAPK/APK در اندروید با یک کلیک!




