À propos de Tachometer
Tachmeter
Compte-tours gratuit
GPS numérique professionnel tours
Pour une utilisation à la voiture, avion, train, bateau, moto, vélo, course et la marche
Travailler n'importe où qu'il ya une couverture des satellites - très précis!
Mesure et d'enregistrement de la vitesse, la localisation exacte, l'heure et la date.
Bon pour les voyageurs qui veulent documenter les emplacements exacts (de piste) où ils sont restés.
Écran principal:
1 Votre vitesse par km / h ou mph -. La radio OnTouch sélection.
2. Affichage de la distance par kilomètres ou en miles.
3. Minuterie.
4. Horloge.
Principales fonctions:
1. Marche / Arrêt.
2. Obtenez l'endroit à chaque seconde.
3. Accéder à la carte.
4. Voir les disques emplacements mémorisés.
5. Définition des préférences.
6. Alerte de vitesse de réglage.
7. Enregistrement du fichier csv (format Excel).
8. Partage de fichiers GPS de la piste.
9. Supprimer les fichiers de piste de GPS.
Description:
Aller à la carte: Après avoir cliqué sur "Get Situation", vous verrez votre place sur la carte géographique que votre soutien de l'appareil - comme carte Google ou carte Waze, ou autre.
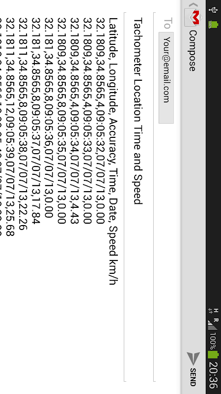
Voir l'emplacement mémorisé: Un tableau détaillé avec les données suivantes -
Latitude, Longitude, Précision, heure, date, Vitesse km / h.
Chaque ligne de la table représente un deuxième données accumulées.
En cliquant sur la ligne sélectionnée, vous obtiendrez l'endroit sur la carte pour la deuxième spécifique.
Réglages préférés
. 1 avertissement de vitesse - Vitesse km par alerte heure - réglage auto de la vitesse alerte km / h.
. 2 avertissement de vitesse - Vitesse mile par alerte heure - réglage auto de l'alerte vitesse mph.
3. Envoyer pour envoyer des données et fichiers Excel (csv).
4. L'emplacement de magasin par GPS / Réseau.
5. Effacer / supprimer toutes les données.
6. Retournez à l'écran principal.
Vous pouvez exporter le fichier de données (csv) à un courriel que vous voulez.
Tous les fichiers enregistrés sur votre périphérique local. vous pouvez gérer et supprimer à tout moment.
Ce tachymètre pour un usage personnel - l'enregistrement de données sur votre appareil uniquement.
Si vous en avez besoin pour un usage commercial de la sauvegarde de données en ligne sur votre serveur d'entreprise - s'il vous plaît contactez-nous.
Créé par Androcalc
Applications android gratuits sur www.androcalc.com
What's new in the latest 1.01
Informations Tachometer APK
Vieilles versions de Tachometer
Tachometer 1.01
Téléchargement super rapide et sûr via l'application APKPure
Un clic pour installer les fichiers XAPK/APK sur Android!




