เกี่ยวกับ Tachometer
Tachmeter
Tachometer ฟรี
จีพีเอสดิจิตอลระดับมืออาชีพ Tachometer
สำหรับการใช้งานในรถ, เครื่องบิน, รถไฟ, เรือ, เรือ, รถมอเตอร์ไซด์ขี่จักรยานวิ่งและเดิน
การทำงานในทุกที่ที่มีความคุ้มครองดาวเทียม - ที่ถูกต้องมาก
การวัดและการบันทึกของความเร็วสถานที่, เวลาและวันที่
ที่ดีสำหรับนักเดินทางที่ต้องการเอกสารสถานที่ที่แน่นอน (ติดตาม) ที่พวกเขาอยู่
หน้าจอหลัก:
1 ความเร็วของคุณโดย กม. / ชม. หรือไมล์ต่อชั่วโมง -. เลือก ontouch วิทยุ
2. แสดงระยะทางโดยกิโลเมตรหรือไมล์
3. ตั้งเวลา
4. นาฬิกา
ฟังก์ชั่นหลัก:
1. Start / Stop
2. รับทุกตำแหน่งที่สอง
3. ไปที่แผนที่
4. ดูสถานที่บันทึกเก็บไว้
5. การตั้งค่าการตั้งค่า
6. การแจ้งเตือนการตั้งค่าความเร็ว
7. csv ที่ประหยัด (รูปแบบ Excel)
8. ไฟล์ที่ใช้ร่วมกันติดตามจีพีเอส
9. การลบไฟล์การติดตามจีพีเอส
คำอธิบาย:
ไปที่แผนที่: หลังจากคลิกที่ "Get Location" คุณจะเห็นสถานที่ของคุณบนแผนที่ทางภูมิศาสตร์ที่ได้รับการสนับสนุนอุปกรณ์ของคุณ - เช่นแผนที่ Google หรือ Waze แผนที่หรืออื่น ๆ
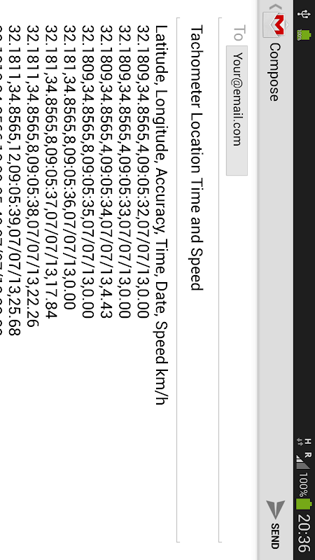
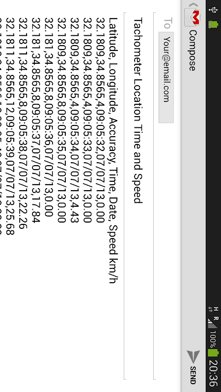
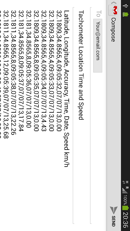
ดูสถานที่จัดเก็บ: ตารางรายละเอียดด้วยข้อมูลต่อไปนี้ -
ละติจูดลองจิจูดความแม่นยำ, เวลา, วันที่, ความเร็ว กม. / ชม.
แถวในตารางแต่ละข้อมูลที่สองอย่างใดอย่างหนึ่งที่สะสม
โดยการคลิกที่แถวที่เลือกคุณจะได้รับสถานที่บนแผนที่สำหรับสองที่เฉพาะเจาะจง
การตั้งค่าการตั้งค่า
1. คำเตือน Speed - ความเร็วกิโลเมตรต่อชั่วโมงการแจ้งเตือน - การตั้งค่าด้วยตนเองของความเร็วการแจ้งเตือน กม. / ชม.
2. เตือน Speed - ความเร็วไมล์ต่อชั่วโมงการแจ้งเตือน - การตั้งค่าด้วยตนเองของความเร็วไมล์ต่อชั่วโมงการแจ้งเตือน
3. อีเมล์สำหรับการส่งข้อมูลและไฟล์ excel (csv)
4. สถานที่เก็บโดย GPS / เครือข่าย
5. ใส / ลบข้อมูลทั้งหมด
6. กลับไปที่หน้าจอหลัก
คุณสามารถส่งออกแฟ้มข้อมูล (csv) ไปยังอีเมลที่คุณต้องการ
ไฟล์ทั้งหมดที่บันทึกไว้ในอุปกรณ์ของคุณ คุณสามารถจัดการและลบได้ตลอดเวลา
Tachometer นี้สำหรับใช้ส่วนบุคคล - การบันทึกข้อมูลบนอุปกรณ์ของคุณเท่านั้น
หากคุณต้องการสำหรับการใช้งานเชิงพาณิชย์ที่มีการบันทึกข้อมูลออนไลน์บนเซิร์ฟเวอร์ของ บริษัท ของคุณ - โปรดติดต่อเรา
สร้างขึ้นโดย Androcalc
การใช้งานหุ่นยนต์อื่น ๆ ฟรีที่ www.androcalc.com
What's new in the latest 1.01
ข้อมูล Tachometer APK
Tachometer รุ่นเก่า
Tachometer 1.01
การดาวน์โหลดที่รวดเร็วและปลอดภัยเป็นพิเศษผ่านแอป APKPure
คลิกเพียงครั้งเดียวเพื่อติดตั้งไฟล์ XAPK/APK บน Android!




