Oписание Tachometer
Tachmeter
Бесплатный Тахометр
Профессиональная цифровая GPS Тахометр
Для использования в автомобиле, самолете, поезде, корабле, лодку, мотоцикл, велосипед, бег и ходьба
Работа в любом месте, что есть покрытие спутники - очень точно!
Измерение и регистрация скорости, точное место, время и дату.
Хорошо для путешественников, желающих документировать точное местоположение (трек), где они останавливались.
Основной экран:
1 Ваша скорость на км / ч или миль -. Радио OnTouch выбора.
2. Показано расстояние, километрах или милях.
3. Таймер.
4. Часы.
Основные функции:
1. Старт / Стоп.
2. Получить месте, каждую секунду.
3. Перейти к карте.
4. См. записей, хранящихся места.
5. Настройка параметров.
6. Задание скорости оповещения.
7. Сохранение CSV файл (формат Excel).
8. Файлообменник GPS трек.
9. Удалить GPS файлы дорожек.
Описание:
Перейти к карте: После нажатия на кнопку "Получить Location", вы увидите свое место в гео карте, что ваша поддержка устройств - как карта Google или Waze карте, или другое.
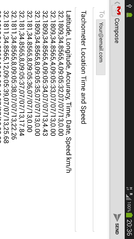
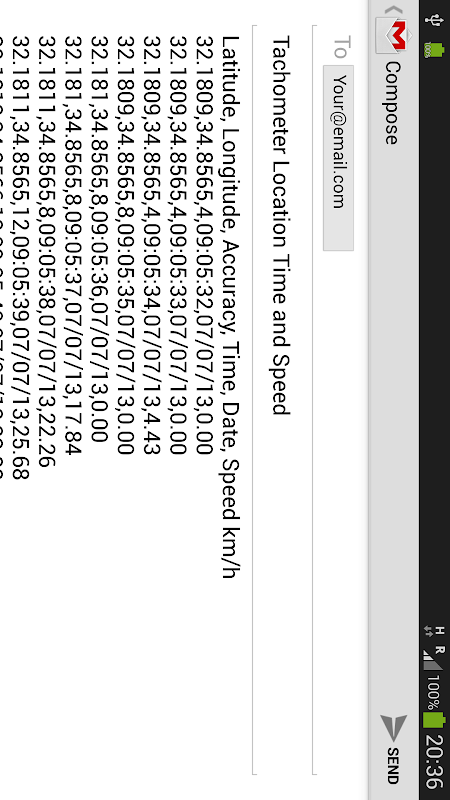
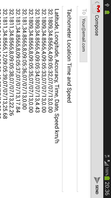
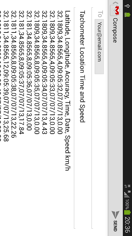
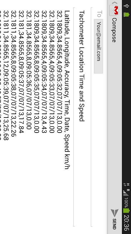
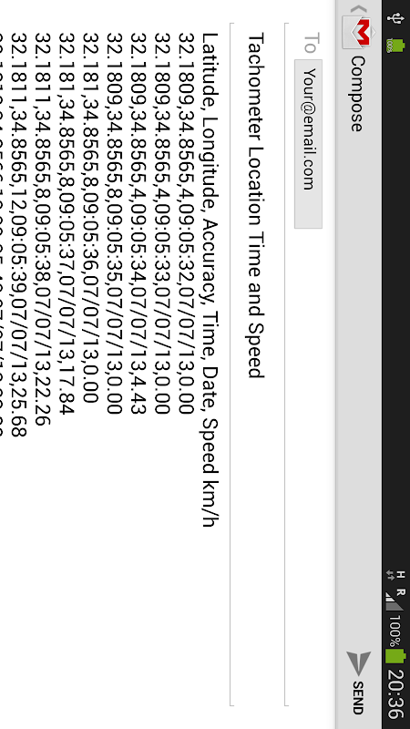
Смотреть хранится местоположение: подробная таблица со следующими данными -
Широта, долгота, точность, время, дата, скорость км / ч.
Каждая строка в таблице представляет собой один вторые данные, накопленные.
Нажав на выбранной строке вы получите место на карте для конкретного секунду.
Настройка параметров
. 1 предупреждение Скорость - Скорость километр в час тревоги - настройка автоматического из скорости оповещения км / час.
. 2 предупреждение Скорость - Скорость мили в час тревоги - настройка автоматического из скорости оповещения миль.
3. Электронная почта для передачи данных и преуспеть файл (CSV).
4. Расположение магазина по GPS / Network.
5. Ясно / удалить все данные.
6. Вернитесь в главное меню.
Вы можете экспортировать файл данных (CSV) для любой электронной почты, который вы хотите.
Все файлы, сохраненные на локальном устройстве. Вы можете управлять и удалять в любое время.
Это Тахометр для личного использования - запись данных о только вашего устройства.
Если вам это нужно для коммерческого использования с сохранением онлайн данные на вашем сервере компании - пожалуйста, свяжитесь с нами.
Создано Androcalc
Еще больше бесплатных андроид приложения на www.androcalc.com
Что нового в последней версии 1.01
Информация Tachometer APK
Старые Версии Tachometer
Tachometer 1.01
Супер Быстрая и Безопасная Загрузка через Приложение APKPure
Один клик для установки XAPK/APK файлов на Android!




