Mengenai Math Tricks & Formulas
helah matematik Shortcut dan formula untuk Pendaraban, Bahagian, Square, selebih
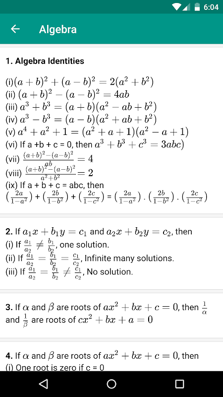
App ini direka bagi mereka yang ingin belajar teknik matematik untuk mempercepatkan calculation.Tricks yang diberikan dalam aplikasi Math Trik akan membantu untuk menyelesaikan tugas-tugas matematik lebih cepat dan mudah.
App ini Menyediakan Trik Pelbagai seperti yang diberikan di bawah:
-Addition Trik
-Division Trik
-Subtraction Trik
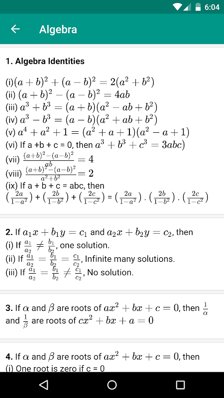
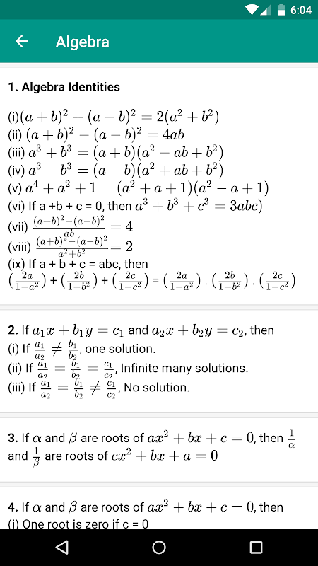
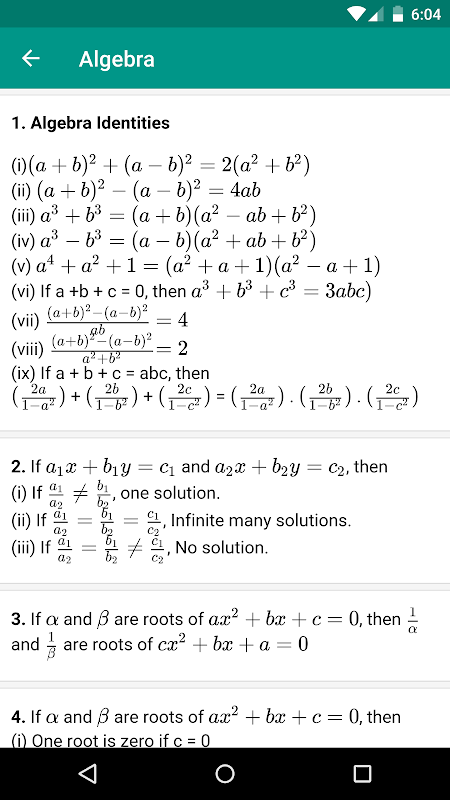
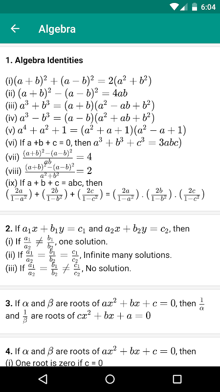
-Multiplication Trik
Trik -Square
Trik -Remainder
Trik -Percentage
-Numbers Trik
Trik Root -Square
-Dividing Oleh 5
-Multiply Oleh 5
-Multiply Oleh 9
-Multiply Oleh 4
Versi ini adalah percuma dan akan sentiasa percuma
What's new in the latest 2.2
Last updated on 2019-02-26
Improved layout
Maklumat APK Math Tricks & Formulas
Versi terkini
2.2
Category
PendidikanAndroid OS
Android 4.0.3+
Saiz Fail
8.7 MB
Pemaju
M4mathsPenilaian Kandungan
Everyone
Muat turun APK Selamat & Cepat di APKPure
APKPure menggunakan pengesahan tandatangan untuk memastikan muat turun APK Math Tricks & Formulas tanpa virus untuk anda.
Versi lama Math Tricks & Formulas
Math Tricks & Formulas 2.2
8.7 MBFeb 26, 2019
Math Tricks & Formulas 2.1
8.8 MBMar 9, 2017
Math Tricks & Formulas 2.0.1
8.8 MBJan 25, 2017
Math Tricks & Formulas 2.0
8.7 MBJan 11, 2017
Muat Turun Super Pantas dan Selamat melalui Apl APKPure
Satu klik untuk memasang fail XAPK/APK pada Android!







