Class 10 Maths NCERT Solutions
15.1 MB
Bestandsgrootte
Everyone
Android 4.4+
Android OS
Over Class 10 Maths NCERT Solutions
NCERT Oplossingen voor Class 10 Maths
Als u op zoek naar de beste en de meest accurate oplossingen voor NCERT Class 10 Wiskunde, dan moet je deze app nu te downloaden! We hebben allemaal de Class 10 NCERT wiskunde vragen voordat u te voorzien van de oplossingen die u helpen bij het oplossen van alle NCERT klasse 10 wiskunde vragen zonder enig probleem de beoordeeld. Wij bieden gratis oplossingen voor NCERT wiskunde klasse 10. Het is beschikbaar om te downloaden en kan worden bekeken. U kunt ook delen onze link voor gratis CBSE klasse 10 wiskunde NCERT oplossingen met je klasgenoten.
NCERT Class 10 Maths Chapters
Hoofdstuk 1 - Real Numbers
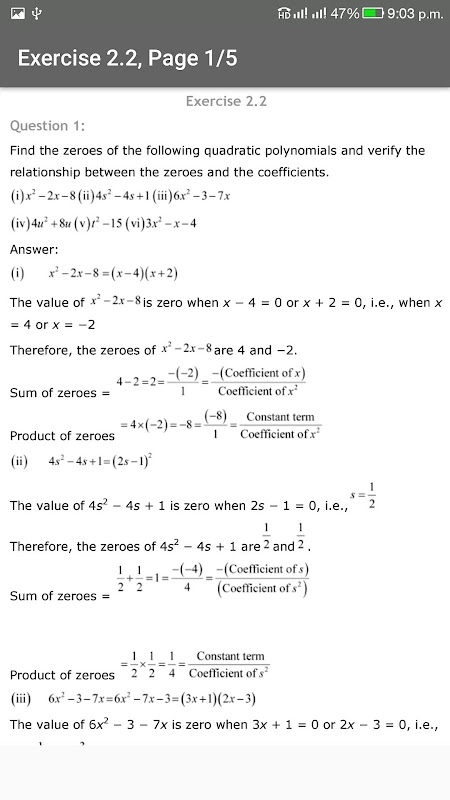
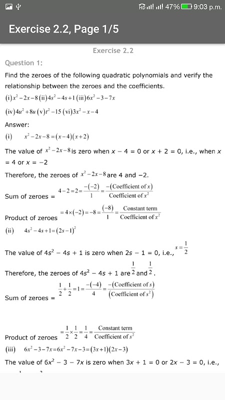
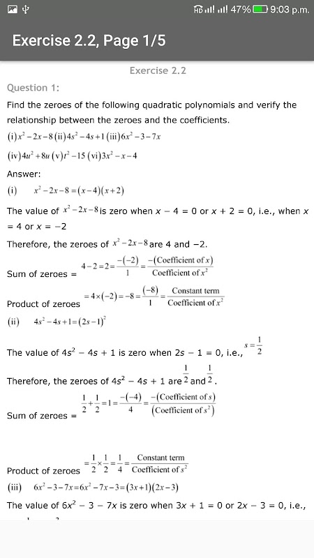
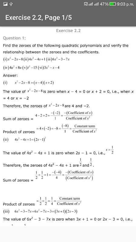
Hoofdstuk 2 - Veeltermen
Hoofdstuk 3 - Paar van lineaire vergelijkingen in twee variabelen
Hoofdstuk 4 - vierkantsvergelijkingen
Hoofdstuk 5 - rekenkundige rij
Hoofdstuk 6 - driehoeken
Hoofdstuk 7 - Coördineren van Geometry
Hoofdstuk 8 - Inleiding tot Trigonometrie
Hoofdstuk 9 - enkele toepassingen van Trigonometrie
Hoofdstuk 10 - Circles
Hoofdstuk 11 - Constructions
Hoofdstuk 12 - Areas naar Circles Related
Hoofdstuk 13 - oppervlakten en volumes
Hoofdstuk 14 - Statistieken
Hoofdstuk 15 - Waarschijnlijkheid
What's new in the latest 1.4
Class 10 Maths NCERT Solutions APK -informatie
Oude versies van Class 10 Maths NCERT Solutions
Class 10 Maths NCERT Solutions 1.4
Class 10 Maths NCERT Solutions 1.3
Class 10 Maths NCERT Solutions 1.2
Class 10 Maths NCERT Solutions 1.1
Supersnel en veilig downloaden via de APKPure-app
Eén klik om XAPK/APK-bestanden op Android te installeren!



