Over Tachometer
Tachmeter
Gratis Toerenteller
Professionele digitale GPS Toerenteller
Voor gebruik in auto, vliegtuig, trein, schip, boot, motor, fietsen, hardlopen en wandelen
Werken in overal dat er satellieten dekking - zeer nauwkeurig!
Meten en registreren van de snelheid, exacte locatie, tijd en datum.
Goed voor reizigers die willen documenteren de exacte locaties (track) waar ze bleven.
Hoofdscherm:
1 Uw snelheid van km / h of mph -. Radio OnTouch selecteren.
2. Toon afstand door kilometers of mijlen.
3. Timer.
4. Klok.
Belangrijkste functies:
1. Start / Stop.
2. Haal locatie per seconde verwerkt.
3. Ga naar de kaart.
4. Zie archief opgeslagen locaties.
5. Voorkeuren instellen.
6. Snelheid instellen alert.
7. Opslaan csv-bestand (Excel-formaat).
8. Sharing GPS track bestand.
9. Verwijder GPS track bestanden.
Omschrijving:
Ga naar kaart: Na het klikken op "Get Location", zult u uw plaats te zien op de geo-kaart dat uw device support - zoals Google map of Waze kaart, of andere.
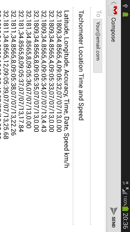
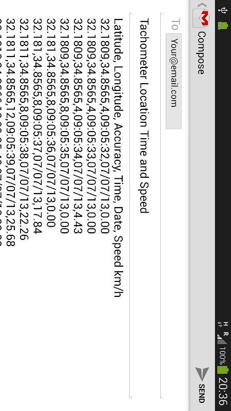
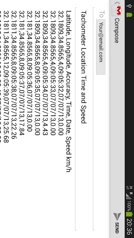
Zie opgeslagen locatie: Een gedetailleerde tabel met de volgende gegevens -
Breedtegraad, lengtegraad, nauwkeurigheid, tijd, datum, snelheid km / h.
Elke rij in de tabel staat voor een tweede data geaccumuleerd.
Door te klikken op geselecteerde rij vindt u de plaats op de kaart voor de specifieke tweede krijgen.
Instellen Voorkeur
. 1 Snelheid waarschuwing - Snelheid kilometer per uur alert - Zelf instellen van de snelheid alert km / h.
. 2 Snelheid waarschuwing - Snelheid mijl per uur alert - Zelf instellen van de snelheid alert mph.
3. E-mail voor het verzenden van gegevens en excel-bestand (csv).
4. Store locatie via GPS / Network.
5. Wissen / verwijderen van alle gegevens.
6. Ga terug naar het hoofdscherm.
U kunt gegevens bestand (CSV) exporteren naar een e-mail die u wilt.
Alle bestanden die zijn opgeslagen op uw lokale apparaat. u kunt op elk moment beheren en verwijderen.
Dit Toerenteller voor persoonlijk gebruik - registratie van de gegevens op alleen uw apparaat.
Als je het nodig hebt voor commercieel gebruik met het redden van online gegevens op uw bedrijfsserver - gelieve ons te contacteren.
Gemaakt door Androcalc
Meer gratis android applicaties op www.androcalc.com
What's new in the latest 1.01
Tachometer APK -informatie
Oude versies van Tachometer
Tachometer 1.01
Supersnel en veilig downloaden via de APKPure-app
Eén klik om XAPK/APK-bestanden op Android te installeren!




